2. 海军航空工程学院研究生管理大队, 烟台 264001
2. Graduate Student's Brigade, Naval Aeronautical and Astronautical University, Yantai 264001, China
基于案例推理(Case-Based Reasoning,CBR)的故障诊断是一种新型的智能诊断技术,它模拟人类解决问题的思路,首先回忆过去遇到的类似情况,再根据新问题的具体要求对以往的解决方案进行修正,得到新问题的解决方案[1].与基于规则推理(Rule-Based Reasoning,RBR)的故障诊断技术相比,CBR更适合于处理无理论模型、诊断知识结构复杂、难以理解的故障诊断问题[2, 3].如何对案例中包含的大量、复杂的诊断知识进行规范化表示就成为要解决的首要问题.
传统的知识表示方法包括有脚本、产生式、框架、过程、面向对象等,但它们都存在对新案例、新特征的表示能力不足、对复杂案例语义表示不清、对区间型数据信息处理困难等问题[4].可拓学中的基元理论为案例表示提供了新思路,基元具有良好的结构性,对案例数量和案例包含的特征数量没有限制,同时采用可拓集理论可以有效处理区间型数据信息,从而避免了传统知识表示方法的不足,为此需要研究案例的基元表示,即可拓案例表示.案例表示只是CBR的基础,CBR的核心是其推理过程.文献[5]提出了一种基于可拓理论的CBR系统实例检索模型,根据关联函数定义相似度,通过层次分析法(Analytical Hierarchy Process,AHP)计算属性权重,并用于产品配置设计;文献[6]将可拓学与CBR相结合,通过建立故障征兆二叉树,实现可拓案例的检索,并用于汽车的故障诊断.文献[7]设计了一种可拓规则推理和CBR相结合的可拓推理机,采用最近邻方法实现案例检索,根据信息增益确定属性权重,并用于数字程控交换机的故障诊断.但它们对区间型故障征兆值的相似度计算公式都不够完善,而且没有充分利用可拓变换进行可拓案例的推理,所以本文在已有研究成果的基础上,重点讨论采用复合元表示案例后的相似度计算公式和基于可拓变化的可拓案例推理,并将其用于机载设备的故障诊断之中.
1 可拓案例表示
在故障诊断领域,案例至少应该包括问题描述和解描述两个部分,其中问题描述部分主要包括被诊断对象的基本信息和故障征兆向量;解描述部分主要包括诊断结果、故障概率和维修建议[8, 9].采用复合元可以将故障案例的一般形式表示为


在问题描述复合元MP中,Cbi表示基本信息属性,Cfs表示故障征兆属性,Mbi和Mfs为对应属性值的基元形式;在解描述复合元MS中,Cdr表示诊断结果属性,Cfp表示故障概率属性,Cms表示维修建议属性,Mdr、Mfp和Mms为对应属性值的基元形式.
案例的推理过程主要是针对问题描述中的故障征兆进行的,案例的故障征兆可以用基元描述为

针对故障征兆取值的不同数据类型,采用不同的相似度计算公式,其中布尔型、枚举型、数值型和字符串型的计算公式已经趋于成熟[10, 11],所以重点考虑区间型数据的相似度计算.
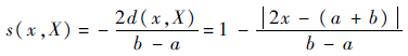
1) 点与区间.
任意点x与区间X=(a,b)的相似度,可以根据可拓集理论中的可拓距定义为

为点x与区间X的可拓距.当d(x,X)<0时,表示x∈X,即新案例的故障征兆值满足历史案例的故障征兆范围,两者的相似度1≥s(x,X)>0.
当d(x,X)>0时,表示x∉X,即新案例的故障征兆值不满足历史案例的故障征兆范围,两者的相似度s(x,X)<0.
当d(x,X)=0时,表示x=a或x=b,即新案例的故障征兆值与历史案例的故障征兆边界值相同,两者的相似度s(x,X)=0.
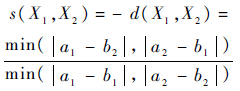
2) 区间与区间.
任意区间X1=(a1,b1)与区间X2=(a2,b2)的相似度,可以定义为
当X1∩X2=∅时:

当X1∩X2≠∅时:

当d(X1,X2)<0时,表示X1∩X2≠∅,即新案例的故障征兆范围与历史案例的故障征兆范围有交集,两者的相似度1≥s(X1,X2)>0.
当d(X1,X2)>0时,表示X1∩X2=∅,即新案例的故障征兆范围与历史案例的故障征兆范围不相符,两者的相似度s(X1,X2)<0.
当X1=∅或X2=∅时,两者的相似度s(X1,X2)=0.
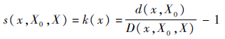
3) 点与区间套.
任意点x与区间X0=(a,b)和区间X=(c,d)且X0⊆X组成区间套的相似度,可以根据可拓集理论中的关联函数定义为
当d(x,X0)=d(x,X)且x∉X0时:

其他情况时:


当k(x)>0时,表示x∈X0,即新案例的故障征兆值满足历史案例的故障征兆范围,两者的相似度1≥s(x,X0,X)>0.
当0>k(X)>-1时,表示x∉X0且x∈X,即新案例的故障征兆值不满足历史案例的故障征兆范围,但满足案例库中该故障征兆的最大取值范围,两者的相似度0>s(x,X0,X)>-1.
当k(x)<-1时,表示x∉X,即新案例的故障征兆值不满足案例库中该故障征兆的最大取值范围,两者的相似度s(x,X0,X)<-1.
当k(X)=0时,表示x=a或x=b,即新案例的故障征兆值与历史案例的故障征兆边界值相同,两者的相似度s(x,X0,X)=0.
当k(x)=-1时,表示x=c或x=d,即新案例的故障征兆值与案例库中该故障征兆最大取值范围的边界值相同,两者的相似度s(x,X0,X)=-1.
2 可拓案例推理
可拓案例推理分为可拓案例检索(retrieve)、可拓案例重用(reuse)、可拓案例修改(revise)和可拓案例保存(retain)4个阶段,也称为4R生命周期模型[10],如图 1所示.
![]() |
| 图 1 可拓案例推理的生命周期模型 Fig. 1 Life cycle model of extension case-based reasoning |
2.1 可拓案例检索
可拓案例检索是指从可拓案例库中检索出与新故障征兆最为相似的历史案例.案例检索通常包括3个步骤:①识别当前案例的全部特征;②利用特征在案例库中查找相似案例;③对检索的相似案例进行排序输出.从检索过程分析,可拓案例检索主要与相似度的计算、特征项权重的确定以及检索的策略3个方面密切相关.
2.1.1 相似度计算
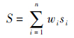
可拓案例相似度的计算直接决定可拓案例的检索结果,对于任意故障征兆基元Mfs,通过对不同数据类型的故障征兆采用不同的相似度计算公式,可以得到n个故障征兆的相似度为s1,s2,…,sn,则整个可拓案例的相似度为

2.1.2 确定权值
为避免因主观评分等因素导致的权重不客观、不稳定等问题,采用粗糙集(RS)的方法计算故障征兆权重[12, 13].首先建立决策表,案例的故障征兆表示条件属性C={c1,c2,…,cn},案例的诊断结果表示决策属性D={Cdr}.然后对决策表中的故障征兆值进行离散化.对布尔型、枚举型和数值型的故障征兆值采用Naive Scaler算法:按故障征兆取值vi(i=1,2,…,n)由小到大的顺序,对可拓案例进行排序,设MC1和MC2是排序后两个相邻的可拓案例,对应故障征兆ci的取值分别为v1和v2,如果v1≠v2且Cdr(MC1)≠Cdr(MC2)(决策属性值不同),则u=(v1+v2)/2是故障征兆ci的一个离散化端点.对区间型的故障征兆值采用自定义比较算法:按故障征兆取值区间下限由小到大的顺序,区间下限相同时按区间上限由小到大的顺序,对可拓案例进行排序,设MC1和MC2是排序后两个相邻的可拓案例,对应故障征兆ci的取值分别为V1=(a1,b1)和V2=(a2,b2),如果Cdr(MC1)=Cdr(MC2)(决策属性值相同),则区间V1∪V2是故障征兆ci的一个离散化区间,如果Cdr(MC1)≠Cdr(MC2)(决策属性值不同),则V1和V2是故障征兆ci离散化的两个离散化区间.最后通过计算决策表中每种故障征兆的依赖度来确定故障征兆的权重,故障征兆C*⊆C的权重定义为

为决策属性D对故障征兆集C的依赖度;Card(·)为集合中元素的个数;U为全部可拓案例的集合;PosC(D)=
为根据分类U/P的信息可以准确地划分到D的不可分辨关系的故障征兆集合.根据粗糙集计算的故障征兆权重需进行归一化处理

2.1.3 检索策略
检索策略是提高可拓案例检索效率的关键因素,采用最近邻法作为检索策略的基础[10, 14],并结合规则引导提高检索效率.
规则 1优先检索历史成功检索次数多的可拓案例.
针对历史成功检索次数对可拓案例集中的案例进行排序,并将序号作为可拓案例的索引.当有新案例进行检索时,按照可拓案例的索引顺序进行相似度的计算.初始可拓案例集的历史成功检索次数都为0,按案例发生的先后顺序进行排序,并将序号作为可拓案例的索引.
规则 2 优先计算权值大的故障征兆的相似度.
由于可拓案例中可能含有较多的故障征兆,因此在计算相似度时,按故障征兆权重由大到小的顺序进行.另外,如果存在故障征兆ci,其归一化权重wi>0.5,则与故障征兆的相似度si<0的可拓案例检索失败,不再计算可拓案例中其他故障征兆的相似度.
规则 3 当检索到与目标案例相同的历史案例时,检索结束.
目标案例与历史案例是否相同是通过故障征兆的相似度确定的,如果目标案例和历史案例中包含的故障征兆完全相同,且对于布尔型、枚举型、数值型和字符串型的故障征兆值,两者的相似度为1,对于区间型故障征兆值,两者的相似度大于0,则认为两个案例是相同的.当检索到相同案例时检索结束.
规则 4 当可拓案例的相似度大于阈值δ时,检索结束.
可拓案例集中可能含有大量的案例,如果全部检索一遍可能需要消耗大量的时间,所以设定阈值δ,当目标案例与历史案例的相似度S>δ时检索结束.
规则4中阈值δ的取值与新案例的故障征兆个数、数据类型和权重有关.对于布尔型、枚举型、数值型和字符串型故障征兆值,一般要求相似度si=1;而对于区间型故障征兆值,一般要求相似度0>si>-1,所以结合粗糙集求得的各故障征兆权重,可以初步确定阈值的取值范围为

在实际应用的过程中,还需根据历史案例的具体情况对阈值δ进行调整,历史案例数量较多时,阈值δ的取值较大;历史案例数量较少时,阈值δ的取值较小.另外,为了便于可拓案例的重用和修改,在案例检索结束后,返回相似度最高的3个可拓案例备用.
2.2 可拓案例重用
可拓案例重用是指将检索到的最相似的历史案例的解决方案映射到目标案例上,作为目标案例的解决方案.可拓案例重用可以通过可拓变换中的传导变换实现[9, 10].
设目标可拓案例
(其中OC1为案例对象1),最相似历史可拓案例
(其中OC2为案例对象2),采取主动变换TO(OC2)=OC1,可以实现相应属性值的传导变换:

由于两个可拓案例的故障征兆基元相似,即MP1≈MP2,代入式(1)可得属性值变换TV为幺变换,再代入式(2)可得MS1≈MS2.所以相似历史案例的解基元可作为目标案例的解基元,即通过可拓传导变换实现可拓案例的重用.
根据本文提出的检索策略可知,可拓案例检索终止包括两种情况:①检索到相同的或相似度大于阈值δ的历史案例;②检索完全部历史案例.
针对第①种情况,将相同案例或最相似案例的诊断结果作为目标案例的诊断结果.针对第②种情况,设返回的3个历史案例的相似度分别为S1、S2和S3.如果max(S1,S2,S3)<0,说明没有相似的历史案例,直接进入可拓案例修改;如果存在相似度Si>0(i=1,2,3)的历史案例,并且它们的诊断结果相同,则目标案例的诊断结果和它们相同;如果存在相似度Si>0(i=1,2,3)的历史案例,但它们的诊断结果不同,则目标案例的诊断结果是他们诊断结果的并集,即目标案例可能发生多故障,需在可拓案例修改阶段进一步确认.
2.3 可拓案例修改
可拓案例修改是指将对已经映射了解决方案的目标案例进行进一步的修改,使其更加符合实际情况.可拓案例的修改主要是对故障征兆的增加和删除、对故障征兆值的修改和对故障征兆权重的修改,可通过可拓变换中的增删变换实现[9, 10].
设目标可拓案例的故障征兆基元为Mfs=(Ofs,C,V),如果需增加相似历史案例的故障征兆基元为Madd=(Ofs,Cadd,Vadd),则采用增加变换T(Mfs)=Mfs⊕Madd,得到修改后的可拓案例M′fs=(Ofs,CCadd,V⊕Vadd);如果需删除相似历史案例的故障征兆基元为Mdel=(Ofs,Cdel,Vdel),则采用删减变换T(Mfs)=Mfs⊖Mdel,得到修改后的可拓案例M′fs=(Ofs,C⊖Cdel,V⊖Vdel).
在可拓案例重用阶段,如果没能得到相似的历史案例,即max(S1,S2,S3)<0,则首先对涉及到的故障征兆的权重进行调整,如果仍得不到相似度大于0的历史案例,就需要根据专家意见对目标案例进行人为诊断,并将诊断后的案例保存在可拓案例库中;如果检索到多个相似的历史案例,则需要对多个历史案例进行综合,通过添加、删除故障征兆,修改故障征兆值使故障案例更加完整;如果检索到一个异构的历史案例,即目标案例的故障征兆和历史案例的故障征兆的数量或种类不相同,则需要增加或删除目标案例的故障征兆使两者一致;如果检索到一个同构的历史案例,即目标案例的故障征兆和历史案例的故障征兆完全相同,则需要对故障征兆的权重进行调整和再分配,使各故障征兆的权重不断向实际情况逼近,从而使检索到的可拓案例能够更好地解决实际问题.
2.4 可拓案例保存
可拓案例保存是指将修改后的可拓案例保存到可拓案例集中,为下次新问题的求解提供准备.
可拓案例的保存包括添加、删除和替换3种方式[15].添加方式是指将修改后的可拓案例添加到可拓案例集中,并保留检索到的历史案例;删除方式是指将修改后的可拓案例作为中间结果,使用后删除;替换方式是指用修改后的可拓案例替换检索到的历史案例,并保存在可拓案例集中.
另外,为保证案例检索的效率,新的可拓案例不能无限制地增加.采用基于效用度的可拓案例库维护方法,规定可拓案例库中包含可拓案例的上限为NC,并按历史成功检索次数对可拓案例库中的案例进行排序,当新增可拓案例后可拓案例总数超过NC时,删除使用频率最小的可拓案例,当存在多个使用频率最小的可拓案例时,删除与新增可拓案例相似度最高的可拓案例.
3 应用案例
大气数据计算机是飞机航空电子系统的大气数据分系统的主要设备,按功能可分为电源组合模块、中央处理机组合模块、模拟量接口组合模块、数字量接口组合模块、离散量接口组合模块和多路总线接口组合模块.为描述方便,以某型大气数据计算机的电源组合模块为例,说明采用可拓案例推理进行故障诊断的过程.在对大气数据计算机进行维修保障过程中积累了大量的历史案例,首先建立决策表,其中条件属性为9个故障征兆c1,c2,…,c9,决策属性为电源组合模块的诊断结果d(故障或者正常).对收集的100组案例进行离散化,得到每种故障征兆离散化后的取值,见表 1.
| 故障征兆 | 离散化值 | |||
| 0 | 1 | 2 | 3 | |
| c1 | 断开 | 闭合 | ||
| c2 | (5.8,8.9) | [8.9,11.6] | (11.6,14.4) | 其他 |
| c3 | (6.4,9.3) | [9.3,13.4] | (13.4,15.7) | 其他 |
| c4 | (4.6,7.8) | [7.8,10.9] | (10.9,13.9) | 其他 |
| c5 | (7.2,10.2) | [10.2,12.1] | (12.1,14.1) | 其他 |
| c6 | (18.9,26.5) | [26.5,28.5] | (28.5,30.6) | 其他 |
| c7 | (16.4,27.8) | [27.8,29.7] | (29.7,33.5) | 其他 |
| c8 | (23.6,27.4) | [27.4,30.2] | (27.4,34.7) | 其他 |
| c9 | (25.1,29.1) | [29.1,31.4] | (29.1,33.9) | 其他 |
表 1中故障征兆c1表示开关量,为布尔型故障征兆;c2~c5表示4路直流参考电压,为数值型故障征兆;c6~c9表示4路直流输出电压,为区间型故障征兆.采用粗糙集的方法计算决策表中每种故障征兆的依赖度,并将其归一化为故障征兆的权重,见表 2.
| 故障征兆 | 依赖度 | 权重 |
| c1 | 0.30 | 0.060 |
| c2 | 0.69 | 0.138 |
| c3 | 0.71 | 0.142 |
| c4 | 0.80 | 0.160 |
| c5 | 0.76 | 0.152 |
| c6 | 0.42 | 0.084 |
| c7 | 0.44 | 0.088 |
| c8 | 0.50 | 0.100 |
| c9 | 0.38 | 0.076 |
根据得到的故障征兆权重可以计算目标案例与可拓案例集中历史案例的相似度,同时返回相似的历史案例.由于可拓案例检索后的重用、修改和保存过程需要人为参与,不具有一般性,这里不再赘述,最终的诊断结果表明该方法可实现包含多故障模式的机载设备故障诊断.
为体现本文提出检索策略的优越性,对可拓案例检索的时间复杂度进行分析.假设可拓案例库中任意一个可拓案例MCi包含的故障征兆个数为mi(i=1,2,…,N),则对可拓案例库中全部可拓案例的全部故障征兆都进行检索的时间复杂度为
.根据规则2,设pi1表示可拓案例MCi中存在权重大于0.5的故障征兆的概率,pi2表示该故障征兆对应的相似度大于0的概率,则时间复杂度变为
.根据规则3和规则4,设pi3表示检索完可拓案例MCi后检索结束的概率,则需要检索可拓案例的平均个数为
,则时间复杂度变为
.
通过对可拓案例检索时间复杂度的分析可知,采用本文提出的检索策略可以提高可拓案例的检索效率.针对建立的电源组合模块可拓案例库,将本文提出的检索策略与全局检索策略(检索全部可拓案例的全部故障征兆)进行比较,见表 3.
| 检索策略 | 故障征兆计算次数 | 可拓案例计算个数 |
| 全局检索策略 | 900 | 100 |
| 本文检索策略 | 315 | 35 |
表 3中本文检索策略的可拓案例计算个数是10个目标案例计算个数的平均值,取阈值δ=0.8,而且由于不包含权重大于0.5的故障征兆,所以在故障征兆计算个数方面并没有体现更多的优势.
4 结 论
本文将可拓学与案例推理相结合,提出了基于可拓案例推理的故障诊断方法,经应用案例分析表明:
1) 与全局检索策略相比,本文提出的检索策略时间复杂度低、检索效率高.
2) 可拓案例推理中结合可拓变化实现的可拓案例重用和可拓案例修改更利于计算机实现.
3) 该方法可用于机载电子设备故障诊断,并具有多故障诊断能力.
目前可拓案例推理还需要人为参与,为此仍需研究可拓案例重用、可拓案例修改和可拓案例保存的自动化实现过程.
| [1] | Dendani-Hadiby N, Khadir M T.A fault diagnosis application based on a combination case-based reasoning and ontology approach[J].International Journal of Knowledge-based and Intelligent Engineering Systems, 2013, 17(4):305-317. |
| Click to display the text | |
| [2] |
张秦岭,郭宏,姜旭.大型无人机电源系统故障诊断专家系统[J].北京欧美大片ppt免费大全学报, 2013, 39(8):1026-1030. Zhang Q L, Guo H, Jiang X.Fault diagnosis expert system for electric power system of large-scale UAVs[J].Journal of Beijing University of Aeronautics and Astronautics, 2013, 39(8):1026-1030(in Chinese). |
| Cited By in Cnki (1) | |
| [3] |
李青,史雅琴,周扬.基于案例推理方法在飞机故障诊断中的应用[J].北京欧美大片ppt免费大全学报, 2007, 33(5):622-626. Li Q, Shi Y Q, Zhou Y.CBR methodology application in fault diagnosis of aircraft[J].Journal of Beijing University of Aeronautics and Astronautics, 2007, 33(5):622-626(in Chinese). |
| Cited By in Cnki (53) | |
| [4] | Im H K, Park S C.Case-based reasoning and neural network based expert system for personalization[J].Expert Systems with Applications, 2007, 32(1):77-85. |
| Click to display the text | |
| [5] |
贾艳华,莫蓉,杨海成,等.基于可拓理论的CBR系统实例检索模型[J].计算机工程与应用, 2013, 49(2):258-260. Jia Y H, Mo R, Yang H C, et al.Model for case retrieval in CBR system based on extenics[J].Computer Engineering and Applications, 2013, 49(2):258-260(in Chinese). |
| Cited By in Cnki (2) | |
| [6] |
韩丹.基于CBR及可拓学的汽车故障诊断系统研究[D].合肥:合肥工业大学, 2010. Han D.Research of automotive fault diagnosis system based on CBR and extenics[D].Hefei:Hefei University of Technology, 2010(in Chinese). |
| Cited By in Cnki (3) | |
| [7] |
豆增发.基于可拓规则和案例推理的混合专家系统[D].西安:西安电子科技大学, 2007. Dou Z F.A novel hybrid expert system based on extension rule and case-based reasoning[D].Xi'an:Xidian University, 2007(in Chinese). |
| Cited By in Cnki (8) | |
| [8] | Xu M, Yu H Y, Shen J.New algorithm for CBR-RBR fusion with robust thresholds[J].Chinese Journal of Mechanical Engineering, 2012, 25(6):1255-1263. |
| Click to display the text | |
| [9] | Yang C Y, Cai W.Extenics theory, method and application[M].Beijing:Science Press, 2013:49-68. |
| [10] |
柳玉,贲可荣.案例推理的故障诊断技术研究综述[J].计算机科学与探索, 2011, 5(10):865-879. Liu Y, Ben K R.Survey of fault diagnosis based on case reasoning[J].Journal of Frontiers of Computer Science and Technology, 2011, 5(10):865-879(in Chinese). |
| Cited By in Cnki (11) | |
| [11] | Lau A, Tsui E, Lee W B.An ontology-based similarity measurement for problem-based case reasoning[J].Expert Systems with Applications, 2009, 36(3):6574-6579. |
| Click to display the text | |
| [12] |
王国胤,姚一豫,于洪.粗糙集理论与应用研究综述[J].计算机学报, 2009, 32(7):1229-1247. Wang G Y, Yao Y Y, Yu H.A survey on rough set theory and applications[J].Chinese Journal of Computers, 2009, 32(7):1229-1247(in Chinese). |
| Cited By in Cnki (5) | |
| [13] | Geng Z Q, Zhu Q X.Rough set-based heuristic hybrid recognizer and its application in fault diagnosis[J].Expert Systems with Applications, 2009, 36(2):2711-2718. |
| Click to display the text | |
| [14] | Qi J, Hu J, Peng Y H, et al.A case retrieval method combined with similarity measurement and multi-criteria decision making for concurrent design[J].Expert Systems with Applications, 2009, 36(7):1036-1057. |
| Click to display the text | |
| [15] |
王波.基于CBR的飞机机载设备故障诊断系统[D].西安:西北工业大学, 2007. Wang B.Fault diagnosis system of on-board equipments of airplane by case-based reasoning[D].Xi'an:Northwestern Polytechnical University, 2007(in Chinese). |
| Cited By in Cnki (15) |




