通常情况下材料断裂韧性被看作常数,为平面应变状态下的断裂韧性值.实际上,断裂韧性的值是随着试样厚度的变化而变化的,即断裂韧性是一个与应力状态有关的量,并不是仅与材料性质有关的常数.在一些航空技术先进国家,已经通过大量的试验给出了许多常用材料的KC-B曲线,即断裂韧性-厚度曲线,而中国基本没有建立航空结构材料的KC-B曲线.要解决这一问题,一是通过像先进国家那样通过大量的试验来确定KC-B曲线,但将耗费巨额资金;二是由三维断裂理论入手,分析断裂的本质,进而提出不依赖于厚度的断裂韧性计算方法,得出材料的KC-B曲线.
国内外有不少学者已对材料断裂韧性进行了研究,并取得了显著的成果.文献[1, 2, 3, 4, 5, 6, 7, 8, 9, 10, 11, 12, 13]采用数值仿真或理论计算方法对平面应力或平面应变状态下材料的断裂韧性进行了分析,但没有涉及到过渡状态下材料断裂韧性的计算方法.文献[14]引入了厚度修正经验函数,但所得过渡状态下的断裂韧性是经验修正的结果,模型的通用性受到限制.杨继运等[15, 16, 17, 18]建立了材料断裂韧性与试样厚度之间的计算模型,但在计算材料断裂韧性时,首先需要试验数据来确定模型中的参数值.可见,国内外对过渡状态下材料断裂韧性的计算方法研究较少,而过渡状态下材料的断裂韧性值不可能通过试验来一一确定,所以迫切需要一种能计算过渡状态下材料断裂韧性的方法.
本文在已有研究成果的基础上提出一种过渡状态下材料断裂韧性的计算方法.对三维裂纹尖端的三轴应力约束参数进行分析,通过断裂能量准则对断裂韧性与材料拉伸性能之间的关系进行研究,得到过渡状态下材料断裂韧性的计算方法,同时结合试验值对这一方法进行了验证.
1 三维裂纹尖端的三轴应力约束参数
传统的疲劳断裂理论往往是基于单轴试样的试验数据或应力强度参数进行分析的,此时应力状态的影响就以约束的概念来体现,而三轴应力约束是造成三维疲劳裂纹尖端场与二维裂纹尖端场不同的根本原因.
穿透厚度裂纹坐标系如图 1所示,令O点为三维裂纹前缘曲线上的任意一点,x,y和z分别为O点处曲线的主法向、副法向和切向分量,xOy为O点处裂纹前缘曲线的法平面,r和θ为该平面内的极坐标.
![]() |
| 图 1 穿透厚度裂纹坐标系 Fig. 1 Coordinate system of through-wall crack |
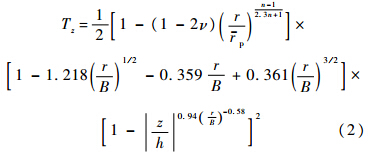
对于典型的穿透直裂纹,可将O点固定于试件中心面上,定义三轴应力约束参数Tz为

在弹性范围内,当Tz=0时,结构处于平面应力状态;当Tz=ν(ν为泊松比)时,结构处于平面应变状态;当0
对于三轴应力约束参数Tz,目前还没有理论上的解析表达显式.文献[19]根据有限元数值仿真结果提出了穿透型裂纹的Tz拟合表达式:

2 材料断裂韧性的本质描述
三维裂纹体断裂的能量准则为

上述能量准则也是发生断裂的充要条件.根据光滑试样的拉伸性能参数可以给出材料的断裂结果(裂纹失稳扩展的结果),因此,可用材料的拉伸性能参数(包括最终断裂时的参数)来分析裂纹的失稳扩展.
2.1 基本关系式
带裂纹结构开裂的条件[20]为

为裂纹尖端过程区消耗的塑性功率;
为裂纹尖端过程区以外的塑性区消耗的塑性功率;2γ为表面能.对于Ⅰ型裂纹体,能量释放率与应力强度因子的关系[21]为

则有

在裂纹尖端附近,过程区中为非连续介质,有着长大并联合的孔洞,这与光滑试样拉伸时颈缩开始后的变形情况在本质上是相同的.过程区以外塑性区的变形情况与光滑试样拉伸时从屈服延伸率δs到均匀延伸率δb段的均匀塑性变形情况在本质上是相同的.裂纹尖端前方弹性区的变形情况与光滑试样拉伸时弹性段的变形情况在本质上也是相同的.因此,可参考文献[14]中的方法,将裂纹尖端场等效为单向应力和应变场:

研究对象为处于某一应力状态下带裂纹的单位厚度板中的情况.典型的应力-应变曲线如图 2所示,图 3为裂纹尖端区域示意图.
![]() |
| 图 2 典型的应力 Fig. 2 Typical stress-strain curve |
![]() |
| 图 3 裂纹尖端区域示意图 Fig. 3 Illustration of crack tip regions |
根据已有研究[14],裂纹扩展单位面积所需表面能可近似表示为

所以,式(6)可表示为

2.2 WFhF的表征
2.2.1 平面应力状态下WFhF的表征
hF为裂纹尖端过程区的有效当量尺寸,其最小值可认为等于与裂纹面成45°方向的滑移带有效尺寸.由于已有研究者测定在室温及高应力作用下滑移带沿裂纹面方向的宽度ω约为10μm[14],所以有

对于有较大颈缩应变的金属材料,于平面应力状态下断裂时,hF可表示为[14]

根据已有文献,WF可表示为[20]

2.2.2 三向应力状态下WFhF的表征
对于一般的三向应力状态,可认为结构断裂时裂纹尖端过程区的当量尺寸h′F为平面应力状态时的k倍,则有
对于k可作如下分析.当裂纹尖端应力应变场以弹性解表征时,其对应的等效单向应力达σb,对应点距离裂纹尖端的距离rb为模拟过程区尺寸.设平面应力状态下结构断裂时rb为rb1,非平面应力状态下结构断裂时rb为rb2,根据相似性原理,可取rb2/rb1为k.在三向应力状态下,任何主应力分量超过材料的真实断裂应力σf时,材料将发生局部开裂,从而进入非连续的过程区.
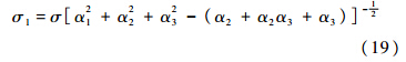
设各向同性材料有一立方单元体受主应力系数σ1,σ2和σ3作用.可定义应力状态参数:
由广义虎克定律可得出弹性应变为
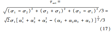
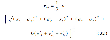
由弹塑性理论可得八面体剪应力为
当α2=α3=0时,单向应力状态下八面体剪应力为
从而可得
式(19)反映了三向应力状态下主应力σ1与σ及应力状态参数σ1,σ2和σ3之间的关系.
实际上,裂纹前缘由结构表面到中心部位的三轴应力约束参数Tz由小变大,对于Ⅰ型裂纹,在裂纹面上的裂纹尖端前缘某点(θ=0°)处,有
根据式(15)和式(20)可得:
当等效单向应力为σb时,根据式(19)可得:
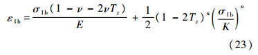
当用Ramberg-Osgood模型[22]表征单向应力-应变关系时,σ1b对应的应变为
同时,裂纹尖端某点(θ=0°)在y方向上的应变(弹性解)为
令εy=ε1b,可得:
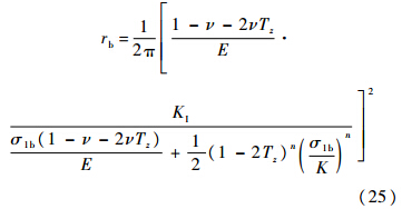
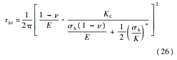
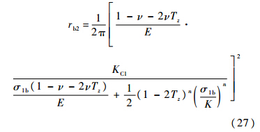
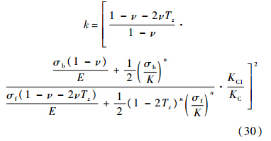
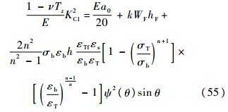
当结构于平面应力状态下发生断裂时,式(25)中Tz=0,KI=KC,rb=rb1,所以有
当结构于三向应力状态下发生断裂时,设KI=KC1,rb=rb2,则有
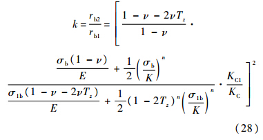
由式(26)和式(27)可得:
根据式(22)和式(28)即可确定k.
如果定义Tz0为
则当Tz≥Tz0时,由式(20)和式(26)可得:
当结构为平面应变状态时,式(28)和式(30)中的KC1=KIC,KIC为平面应变状态下的材料断裂韧性,Tz=ν;当结构为平面应力状态时,则Tz=0,KC1=KC,k=1.
在求得k后,由式(14)即可确定三向应力状态下结构断裂时裂纹尖端过程区的当量尺寸h′F.表示颈缩后材料的真实应变能密度WF可按式(13)计算.
2.3 WUhU的表征
由式(8)可知,WUhU可直接从U
















将I型裂纹尖端场表示成极坐标系下的形式[20]:


由弹塑性理论可知,八面体剪应力为

将式(31)代入式(32),可得



对于单向应力状态(单向拉伸载荷作用),有

令式(34)和式(35)相等,可得裂纹尖端应力场与单向拉伸应力之间的关系表达式:

在裂纹尖端取单位厚度板,图 4为裂纹尖端塑性区示意图.σTm为在塑性区中σT取极大值的线,假设σTm线上有任意一点P及其前方一点P′,当裂纹扩展长度为da时,σTm线将移到σ′Tm位置.假设P′在σ′Tm线上,这时P点将进入卸载区,其卸载按弹性规律进行.σ′Tm线右方各点与裂纹未扩展时σTm线右方各点应力应变场的分布相同.因此,在裂纹扩展长度延长至da的过程中,仅用σTm线与σ′Tm线之间的材料参数计算塑性功率即可,弹性卸载可略去不计.
对于金属材料,其应力-塑性应变曲线可由Ramberg-Osgood模型表示为
当塑性应变较大时,式(37)可近似表示为
所以,图 4中裂纹扩展长度为da时,σTm线与σ′Tm线之间材料的塑性应变能为
由于裂纹尖端扩展长度为da时,σTm线与σ′Tm线是沿着θ=0°线上下对称的,所以当裂纹扩展长度为da时,有
因为有[14]
利用式(44)对式(43)进行积分,可得:
这里ru采用试验数据进行修正.对于中心穿透裂纹的无限大板[14],有
对于中心穿透裂纹的有限宽板,2ru可表示为
所以,对于无限宽板,有
对于有限宽度板,有
根据式(34)和式(36),可得:
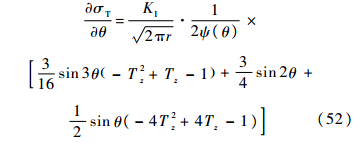
当r→0时,Tz=Tz(z),与θ无关,可认为Tz/θ为零,因此式(51)可写为
令
可以证明当式(53)成立时,必然有
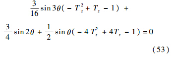
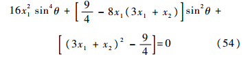
令
根据式(54)可求得两个根(θ1和θ2),且θ2=π-θ1.由于在实际情况中θ随Tz的增大而增大,因此取θ随Tz的增大而增大的那一个作为σT取极大值的临界角.σTm的临界角θ′与Tz的值如表 1所示.
对于含穿透裂纹的无限宽度板,将上述各式代入式(10)可得:
对于含穿透裂纹的有限宽度板,式(55)相应地可表示为
同时,可有

图 4 裂纹尖端塑性区示意图
Fig. 4 Plastic zone around crack tip















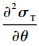
=0,可得:

<0,故σT取极大值.求解式(53)即可得到σT取极大值时对应的角度.

Tz θ′/(°)
0 76.335
0.1 83.998
0.2 89.135
0.3 92.558
0.4 94.547
0.5 95.202 


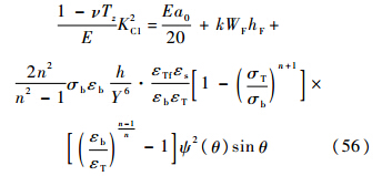
可用式(56)来计算材料的断裂韧性.由于k是KC和KC1(KIC)的函数,θ又是Tz的函数,而KC1又依赖于k和θ才能求解.可见,只有采用迭代算法才能求解式(56).
3 过渡状态下材料断裂韧性计算模 型及试验验证
过渡状态是指介于平面应力和平面应变之间的状态,也就是0<Tz<ν的状态.大量试验结果表明,随着试样厚度由大变小(对应着由平面应变过渡到平面应力状态),断裂韧性由KIC增大过渡到KC.试样的厚度效应主要反映在平面应力及平面应变状态材料自身性能的比值上,也就是反映在板件裂纹尖端前缘材料的平均三轴应力约束参数上.板件表层区域总是处于平面应力状态,其Tz=0.而中心区域处于由Tz控制的状态,当板足够厚时,Tz=ν.在厚板中,表层区域所占比例很小,当其影响可以忽略不计时,板件的材料特性就与厚度有关了,板件处于平面应变状态.在薄板中则有着相反的情况.
3.1 经验模型
对于过渡状态下材料断裂韧性的变化规律,人们试图以KC1作为材料常数,利用经验公式或某些理论推算过渡状态下的KC1值.文献[23]提及了一个经验公式:

试验表明该经验公式能较好地拟合KC1-B曲线.文献[20]给出了用材料拉伸性能参数估算Ak和Bk的方法.从而使得式(59)仅由KIC即可求得KC1-B曲线.Ak和Bk的估算方法[20]为

计算结果表明,利用式(59)~式(61)能由KIC较好地预测KC1-B曲线.
3.2 理论计算模型
第2节中推导了在三维状态下材料断裂破坏的临界条件关系式,只要能够找出材料断裂时裂纹尖端前缘的三轴应力约束参数,即可计算出该状态下材料的断裂韧性值.对于过渡状态情况,可仿照平面应变状态下的方法进行计算,认为断裂的厚度效应是一种三维的平均效应,并且主要由裂纹尖端塑性区内的平均三维约束Tzp来决定.对于穿透I型裂纹体:

对于穿透裂纹有限板,文献[24]给出了r-p的计算公式:
式(63)只在小范围屈服条件下适用,可以计算有限厚度试样在不同位置的裂纹尖端塑性区尺寸.
联合式(2)和式(63),对式(62)采用迭代算法计算Tzp
以2219-T87铝合金为例,采用经验模型与理论计算模型分别计算了该材料的KC1-B曲线,2219-T87铝合金的KC1-B曲线如图 5所示.
![]() |
| 图 5 2219-T87铝合金的KC1-B曲线 Fig. 5 KC1-B curves for 2219-T87 aluminum alloy |
从图 5中可以看出,理论计算值曲线的绝大部分均在试验点的范围内,小于经验公式计算值,且偏于安全,作为工程应用中的参考值是很有价值的.计算曲线出现凸凹反复变化的情况可能是由以下两个原因造成的:①Tz的表达式有待于完善;②由于Tz是KC1的函数,而KC1又是k及Tz的函数,因此迭代求解过程的算法还有待改进.
4 结 论
研究了过渡状态下材料断裂韧性的计算方法.通过研究三维状态下材料断裂韧性与拉伸性能之间的关系,得到了一种过渡状态下材料断裂韧性的计算确定方法,并对2219-T87铝合金在过渡状态下的断裂韧性进行了理论计算.理论计算结果表明:
1) 在材料的拉伸性能已知时,过渡状态下的材料断裂韧性可通过理论计算得到,且理论计算值是偏于安全的.
2) 通过理论计算得到的过渡状态下材料的断裂韧性值还存在一些问题,在以后的研究中需要不断进行完善.
| [1] | Kamaya M. Estimation of elastic-plastic fracture toughness by numerical simulation based on a stress-based criterion for ductile crack initiation[J].International Journal of Pressure Vessels and Piping,2014,117:2-8. |
| Click to display the text | |
| [2] | Steffensen S, Madsen N D,Jensen H M.Numerical estimation of fracture toughness from indentation-induced circumferential cracking in thin films on ductile substrates[J].International Journal of Solids and Structures,2013,50(20):3406-3417. |
| Click to display the text | |
| [3] | Li Y,Zhou M. Prediction of fracture toughness of ceramic composites as function of microstructure[J].Journal of the Mechanics and Physics of Solids,2013,61(2):472-488. |
| Click to display the text | |
| [4] | Margolin B Z, Gulenko A G,Shvetsova V A.Improved probabilistic model for fracture toughness prediction for nuclear pressure vessel steels[J].International Journal of Pressure Vessels and Piping,1998,75(12):843-855. |
| Click to display the text | |
| [5] | Wang Q Z, Zhang S,Xie H P.Rock dynamic fracture toughness tested with holed-cracked flattened Brazilian disc diametrically impacted by SHPB and its size effect[J].Experimental Mechanics,2010,50(7):877-885. |
| Click to display the text | |
| [6] | Gong N P, Gao Y,Jiang X Y,et al.Research on dynamic fracture toughness of granite and finite element analysis[J].Procedia Engineering,2012,37:107-112. |
| Click to display the text | |
| [7] | He Y T,Li F, Zhang G Q,et al.A theoretical approach for estimating fracture toughness of ductile metals[J].Journal of Shanghai Jiaotong University,2004,38(Supple):114-119. |
| [8] | 徐志强,黎立云, 刘一,等.I型裂纹断裂韧性数值与理论计算比较分析[J].山东科技大学学报,2013,32(2):61-65. Xu Z Q,Li L Y,Liu Y,et al.Comparative analysis of numerical and theoretical calculation of fracture toughness model I fracture[J].Journal of Shandong University of Science and Technology,2013,32(2):61-65(in Chinese). |
| Cited By in Cnki |Click to display the text | |
| [9] | 李江,李付国, 薛凤梅,等.基于裂纹尖端钝化能的断裂韧性估算方法[J].稀有金属材料与工程,2011,40(2):577-581. Li J,Li F G,Xue F M,et al.An estimation of fracture toughness based on the passivation energy in the crack tip[J].Rare Metal Materials and Engineering,2011,40(2):577-581(in Chinese). |
| Cited By in Cnki (3) | |
| [10] | 马秋荣,张腾, 李鹤,等.不同厚度国产X100高钢级管线钢的断裂韧性[J].机械工程材料,2013,37(3):69-72. Ma Q R,Zhang T,Li H,et al.Fracture toughness of domestic X100 high strength linepipe steel with different thickness[J].Materials for Mechanical Engineering,2013,37(3):69-72(in Chinese). |
| Cited By in Cnki (1) | |
| [11] | 方颖,李辉, 慧虎,等.基于Master Curve方法的A508-III钢断裂韧性研究[J].核动力工程,2011,32(1):31-34. Fang Y,Li H,Hui H,et al.Study on fracture toughness prediction for A508-III steel based on master curve approach[J].Nuclear Power Engineering,2011,32(1):31-34(in Chinese). |
| Cited By in Cnki (3) | |
| [12] | 马娜,王理, 陈勇.A508-III钢韧脆转变温度范围的断裂韧性研究[J].核动力工程,2012,33(2):57-60. Ma N,Wang L,Chen Y.Research on fracture toughness of A508-III steel in transition range[J].Nuclear Power Engineering,2012,33(2):57-60(in Chinese). |
| Cited By in Cnki | Click to display the text | |
| [13] | 何宇廷,傅祥炯. 铝合金CCT试样裂纹扩展三维尺寸效应金相分析[J].空军工程大学学报:自然科学版,2002,3(2): 5-8. He Y T,Fu X J.Study of three-dimensional effect on crack of CCT aluminium alloy specimens by fractograph analysis[J].Journal of Air Force Engineering University:Natural Science Edition,2002,3(2):5-8(in Chinese). |
| Cited By in Cnki (2) | |
| [14] | Farahmand B, Bockrath G E.A theoretical approach for evaluating the plane strain fracture toughness of ductile metals[J].Engineering Fracture Mechanics,1996,53(6):975-990. |
| Click to display the text | |
| [15] | 杨继运,张行. 材料断裂韧度与试样厚度关系研究[J].机械强度,2003,25(1):76-80. Yang J Y,Zhang X.Research on the relation between fracture toughness and sample thickness[J].Journal of Mechanical Strength,2003,25(1):76-80(in Chinese). |
| Cited By in Cnki (35) | |
| [16] | 杨继运,张行,张珉. 裂纹扩展阻力曲线与试样厚度关系[J].北京欧美大片ppt免费大全学报,2003,29(7):575-578. Yang J Y,Zhang X,Zhang M.Research on relation between crack extension resistance curve and sample thickness[J].Journal of Beijing University of Aeronautics and Astronautics,2003,29(7):575-578(in Chinese). |
| Cited By in Cnki (9) | |
| [17] | 杨继运,张行. 含裂纹板断裂韧度厚度效应的理论研究[J].机械强度,2006,27(5):672-680. Yang J Y,Zhang X.Research on thickness effect on cracked plate fracture toughness[J].Journal of Mechanical Strength,2005,27(5):672-680(in Chinese). |
| Cited By in Cnki (7) | |
| [18] | 杨继运,张行,张珉. 含裂纹板断裂韧度厚度效应的理论与应用[J].机械工程学报,2005,41(11):32-42. Yang J Y,Zhang X,Zhang M.Theory and application on thickness effect on cracked plate fracture toughness[J].Chinese Journal of Mechanical Engineering,2005,41(11):32-42(in Chinese). |
| Cited By in Cnki (18) | |
| [19] | Guo W L. Elastoplastic three-dimensional crack border field-III fracture parameters[J].Engineering Fracture Mechanics,1995,51(1):51-57. |
| Cited By in Cnki (0) | Click to display the text | |
| [20] | 何宇廷. 三维断裂准则及疲劳裂纹扩展模型研究[D].西安:西北工业大学,1997. He Y T.A study of three dimensional fracture criteria and fatigue crack propagation model[D].Xi'an:Northwestern Politechnical University,1997(in Chinese). |
| Cited By in Cnki (1) | |
| [21] | 伍黎明. 7050铝合金耳片接头三维疲劳裂纹扩展特性研究[D].西安:空军工程大学,2013. Wu L M.Study on the three-dimensional fatigue and fracture characteristics for 7050 aluminum alloy lug joints[D].Xi'an:Air Force Engineering University,2013(in Chinese). |
| [22] | Yu H T, Wang J H,Yuan Y.An Improved hysteretic model for soils[J].Journal of Shanghai Jiaotong University:Science Edition,2013,18(6):655-659. |
| Click to display the text | |
| [23] | 中国航空研究院. 军用飞机疲劳损伤容限耐久性设计手册(第三册)[M].北京:中国航空研究院出版,1994:281-282. Chinese Aviation Institute.Military aircraft fatigue,damage tolerant and durability handbook(3rd part)[M].Beijing:Chinese Aviation Institute Press,1994:281-282(in Chinese). |
| [24] | 崔振源. 断裂韧性测试原理和方法[M].上海:上海科学技术出版社,1961:133-135. Cui Z Y.The theory and method of fracture toughness test[M].Shanghai:Shanghai Science and Technology Press,1961:133-135(in Chinese). |







