2. 江西洪都航空工业股份有限公司, 南昌 330024
2. Jiangxi Hongdu Aviation Industry Co. Ltd, Nanchang 330024, China
飞机因其升力面的上下压力差形成翼尖涡并发展成为尾流,其特征为大尺度、高能量漩涡,强度与飞机起飞重量成正比.由于尾流能量集中,自然消散所需时间较长(平静大气条件下约为2~3min以上),当飞机误入前面飞机的尾流区时,轻者会出现机身抖动、下沉或上仰、瞬间飞行姿态改变,重则导致发动机停车,甚至机身翻转等现象,如果处置不当就会发生飞行事故[1].根据英国伦敦希斯罗机场的航空飞行统计数据,在8万次飞行中将产生300次飞机受到前机尾流影响的事件[2].而美国全国交通安全委员会在1983—2000年间记录的因尾流引起的飞行事故多达130多起,占该期间美国空难总数的1/3,尾流对于飞机的危害已经不容忽视,影响着航空运输的安全[3, 4].
为了消除飞机尾流造成的航空安全隐患,现大多民用机场采用由国际民航组织(International Civil Aviation Organization,ICAO)制定的尾流间隔标准[4],此标准的启用,在早期的作用是非常明显的,很大程度上防止了由尾流引发的事故安全,然而随着民航的迅速发展,机场的飞机数量开始不断增加,对航空运力的要求,已经使得间隔标准成为了阻碍机场容量提升的一个主要因素[5].为了既能提高飞机飞行的安全性,又同时改善机场的经济效益,如何对飞机尾流进行控制并加快其消亡成为近年来民用航空领域具有挑战性的研究课题[6, 7, 8, 9, 10, 11, 12, 13].
NASA从20世纪六七十年代起主要研究了不同天气环境下尾流形成和消散的详细机理并且运用雷达对飞机尾流进行了大量的实测[6],力图由此推断和预测飞机尾流的位置和强度,合理规避飞机尾流,提高机场运行效率[7, 8, 9].欧洲对飞机尾流控制的研究主要针对飞机的气动外形进行相应的改进,包括改进襟翼、添加一些辅助的设备等来改变尾涡的特性,使其在较短的时间内消散.欧洲的两个主要机构DLR(德国航空太空中心)和ONERA(法国航空航天中心)在尾流的控制方面做了大量的工作,在许多合作项目中积累了丰富的数据资料[10].近年来,欧美航空强国在大量研究和实验的基础上,还致力于研究能够根据天气、起飞重量等建模并实时预测飞机尾流的监测系统[11, 12],并在机场有实际应用;与此同时,高精度的数值模拟在飞机尾流特性及尾流控制方面得到了越来越广泛的应用[13].
为了使尾流尽快消散,降低尾流对后续飞机的安全威胁,学术界提出了很多方案,从原理上来看分为两类:①飞机尾流形成之初,在尾流内部注入扰动量使得尾流具有较大的涡核尺寸,较小的涡量(Vor.)分布,以降低飞机遭遇尾流时的受载力矩[14, 15, 16].例如,将发动机部分排气引至尾涡涡核区或者在翼尖安装翼尖小翼,阻止气流转向机翼上表面,使得尾流形成之初的涡束减弱,涡核被小翼装置“拉长”,涡核尺寸增大[15, 16].②利用涡系间的相互作用来增大尾流不稳定性的增长因子,使得尾流快速消散[17, 18, 19].
1 Rayleigh-Ludwieg不稳定性
Rayleigh-Ludwig不稳定性[20],又称之为相交不稳定性(以下简称R-L不稳定性),是在两个翼尖涡中的适当位置引入另外两个强度较小的同向或反向涡(简称小涡),形成能够触发两个翼尖涡的不稳定性的尾涡系统.这种四涡系统的特点是两个小涡分别与翼尖涡保持相应的距离,形成左右对称的系统,四涡系统分类图如图 1所示[21].
该四涡尾流系统特征是小涡与对应的大涡反向(Γ1>0,Γ2<0,Γ1和Γ2分别为大涡和小涡的漩涡环量).该类涡系在发展过程中,小涡会被大涡挟带变形,环绕大涡产生“剥离”效应,进而引起大涡的轴向不稳定性.小涡反向是激发大涡R-L不稳定性的前提条件.在该不稳定性的影响下,主涡将会被小涡剥离并削弱,最终相应程度地降低尾流强度.本文即采用矩形机翼模型,通过添加结构化的扰流片来引入一对与主翼涡反向的小涡,以期诱发尾涡的R-L不稳定性,构建出具有自消散机制的尾流体系.
从国际学术研究方面来说,德国DLR设计的F13模型,通过设定水平尾翼的攻角和展弦比,以得到不同参数组合下的作用效果和尾流发展过程,为新型大客机的水平尾翼提供指导思想[18].美国加利福利亚大学伯克利分校(UCB)的学者在矩形机翼后缘两侧安装三角形扰流片,用以产生与主涡旋转方向相反的小涡,来构建反向四涡系统,进行尾流的控制研究[19, 22].美国圣母大学(UND)在矩形机翼后缘安装的可移动式矩形扰流片,用以构建同向和反向的四涡系统,进行尾流控制研究[20, 23],这为机翼襟翼结构的尺寸设计,以及飞机起飞着落过程中襟翼的伸缩方式提供了指导意义.国内主要有北京欧美大片ppt免费大全和厦门大学应用四涡系统对飞机尾流控制做了一定的研究[16, 24, 25].
2 实验模型与研究方法
本文采用矩形机翼模型产生一对大小相等、方向相反的主涡,同时通过添加扰流片引入一对与主翼涡大小不同、方向相反的小涡,形成对称的反向四涡系统,用以研究R-L不稳定性的发展过程及其对飞机尾流的消散作用.
实验模型及扰流片安装位置如图 2所示.
![]() |
| a—矩形扰流片的宽度;r—1/4圆扰流片的半径. 图 2 实验模型及其生成的四涡系统示意图 Fig. 2 Schematic of experimental model and four-vortex wake system tailored by the model |
为了保障较高的加工精度和良好的气动性能,实验中的基础翼型采用了下翼面较为平直的GO436B机翼,机翼模型的弦长为80mm,翼展b=200mm,设定了厚度为0.75mm的8组不同形状与尺寸的扰流片,表 1为扰流片形状与尺寸.扰流片安装在机翼的后缘,并与机翼下表面保持平齐.
本研究在厦门大学流体力学与PIV(Partical Image Velocimetry)实验室(见图 3)的拖曳-循环水槽中进行.水槽的实验段截面宽度为500mm,液面高520mm.该水槽为开放式,其上部装有拖曳台车,拖曳台车上设置有光学平板和六分测力天平.拖曳台车通过伺服驱动马达控制,可以在平行的实验钢轨上往复运行,单向最大行程为3.300m,速度控制分辨率为0.5mm/s.实验模型通过与测力天平吊装在一起实现拖曳并进行攻角调节.实验过程中设置拖曳台车的速度为0.4~0.5m/s,模型攻角6°~10°,实验雷诺数为3.98×104~4.95×104. 如图 3所示,模型由拖曳台车在近乎静水中拖行,可以模拟高空低湍流度的飞行环境.
![]() |
| 图 3 厦门大学流体力学与PIV实验室 Fig. 3 Xiamen university fluid dynamics and PIV laboratory |
该水槽配备二维PIV,实验段两侧和水槽端部设置了观测窗口,实验中高速相机从端部获取尾流涡系相互作用的定量测量数据.本文实验开展所使用的PIV系统组件的具体信息如表 2所示.
| 组件 | 模型 | 参数 |
| 激光器 | Nd:YAG | 15W |
| CCD | SpeedSense9040 | 1600像素×1200像素 |
| 镜头 | AF VR Zoom-Nikkor | 焦距=80~400mm |
| 软件 | Dynamic Studio | V3.31 |
| 粒子种类 | Al2O3 | 粒径=5μm |
由于四涡系统左右相互对称,为了更加精确地进行测量,选择其左半部份作为相机的成像区域.根据实验设备的性能和实验测量精度的需求,互相关分析的图片尺寸为981像素×736像素,判读区(interrogation window)的大小为16像素×16像素,计算时水平和垂直方向都设置25%的重叠(overlap),PIV实验数据处理的坐标系统如图 4所示.
![]() |
| 图 4 PIV测量区域坐标系统 Fig. 4 Coordinate system for PIV measurement region |
同时,在综合考量尾流控制研究的特点和设备性能的基础上,本文研究了飞机尾流在其下游区域45个翼展内的发展情况.实验过程中为保证实验数据的真实可靠,每组实验至少间隔15min,使得流场趋于稳定后再进行下一组实验,同一组实验在实验条件不变的情况下重复2次.
3 PIV实验结果及分析 3.1 单主翼涡发展过程及环量分析本文首先进行了无扰流片(baseline)的实验测量,改变主翼攻角α为10°、8°和6°与台车拖曳速度V为0.4、0.5m/s,进行了6组实验.不同的拖曳速度和攻角下主翼涡发展过程基本相同,选取参数组合为α=10°、V=0.5m/s的情况为例进行说明.无扰片时主翼涡30个翼展内的发展情况如图 5所示,b为翼展,x/b为距离与翼展的比值,其数值为翼展数.主涡涡核在观测范围内始终保持完整,形成初期旋转能量高,随着时间的推移,涡核有出现下洗运动,在实验测量的45个翼展范围内,涡核无明显的破裂消散迹象.
![]() |
| 图 5 无扰流片时主翼涡30个翼展内的的发展情况 Fig. 5 Development of primary vortex in 30 wingspans without spoiler |
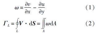
在流体力学中主要采用速度环量和涡通量表征漩涡的强度,文中通过计算测试区域不同时刻的环量变化来表征主涡消散过程中的强度变化.在实验过程中,用于PIV数据采集和数据处理的Dynamicstudio软件能够直接分析出测量区域的速度分布,并对速度场求旋度得到测量区域的涡量分布,二维情况下,涡量ω的计算的如式(1),其中:v与u分别为x与y方向的速度分量,环量是流场中速度在某一封闭周线切线上的分量 V 沿封闭曲线 S 的积分,环量Г的计算可以根据斯托克斯公式表述为式(2),即可以根据对涡量的面积分A求得环量.在数据处理过程中统计分析相对环量Γi/Γ1(第i个翼展处的环量Γi比初始环量Γ1)的变化来表征主涡环量的演变过程.

本文对主翼攻角α=10°、拖曳速度V=0.5m/s下无扰流片时主翼涡在45个翼展的相对环量Γi/Γ1进行统计,其环量发展曲线如图 6所示,主涡能量在前12个翼展呈现一定的增强,出现了一个“环量增加区”,而后开始了缓慢地衰减,在45个翼展环量衰减的幅度不大,在36~45个翼展内,相对环量基本稳定在0.92.
![]() |
| 图 6 无扰流片时主翼涡45个翼展内的环量发展曲线 Fig. 6 Circulation development curve of primary vortex in 45 wingspans without spoiler |
对6组实验的45个翼展的相对环量Γi/Γ1进行统计,无扰流片时主翼涡环量随翼展变化规律见图 7.各组实验在45个翼展内主翼涡环量衰减都很小,说明主翼涡在未受到扰动的情况下可以长时间保持不衰减.进一步论证了主翼涡在自然条件下是非常稳定的,在没有受到外界适当扰动的情况下可以持续保持相当长的一段时间.
![]() |
| 图 7 无扰流片时主翼涡环量随翼展变化规律 Fig. 7 Circulation variation of primary vortex respecting to wingspan without spoiler |
在矩形机翼左右两侧分别安装不同形状与大小的扰流片,对尾涡R-L不稳定性进行分析.为与单主翼涡的发展形成对比,本文选取参数组合为主翼攻角α=10°、拖曳速度V=0.5m/s下添加矩形扰流片下的尾涡在30个翼展内的发展情况为例进行说明,尾涡发展如图 8所示(红色代表逆时针旋转的漩涡,蓝色代表顺时针旋转的漩涡).
![]() |
| 图 8 添加扰流片时主翼涡的发展情况 Fig. 8 Development of primary vortex with spoiler |
通过对比图 5与图 8可以看出,在单主涡情况下,主涡的空间运动呈现明显的下洗运动(相对机翼升力面而言),且存在一定向翼根处的运动趋势,与现实飞机实测尾流的运动趋势相同.然而引入小涡后,主涡的空间运动轨迹在小涡的影响下发生了主要表现在两方面的变化:①出现了一定的上扬;②出现了远离翼根的运动.这说明了小涡的引入,会影响主涡的运动轨迹.
为进一步直观地展现主涡与小涡的相互作用的机制,本文统计了主翼涡和小涡生成后的前24个翼展内的涡量图,添加扰流片时主翼涡的涡量图如图 9所示.
![]() |
| 图 9 添加扰流片时主翼涡的涡量图 Fig. 9 Vortical contour of primary vortex with spoiler |
主涡和小涡生成后,都具有很高的涡量ω,且能量集中.主涡右侧的小涡在主涡的诱导作用下,表现为绕主涡顺时针旋转,在第5个翼展处开始发生相交,两涡的涡核开始发生扭曲,出现明显的变形,涡核形态逐渐失稳,涡核半径不断扩大,流场中涡量的分布不再集中,表现为很多杂乱无章的漩涡,直至小涡运动到第14个翼展附近消散为止.在第16~17个翼展后,流场中不规则漩涡开始聚拢,形成新的主涡,但主涡的旋转能量较之前明显降低.
通过对主翼涡的前45个翼展的相对环量Γi/Γ1进行统计,得到图 10中的添加扰流片时的主翼涡45个翼展内的环量发展曲线,主翼涡在添加扰流片后未出现单主翼下的初期“环量增加区”,而是在第5个翼展开始出现较大的衰减,环量在21个翼展后出现了一定的上升,最终基本稳定在0.42.
![]() |
| 图 10 添加扰流片时主翼涡45个翼展内的环量发展曲线 Fig. 10 Circulation development curve of primary vortex in 45 wingspans with spoiler |
在主翼攻角α=10°、拖曳速度V=0.5m/s下,对添加不同尺寸矩形扰流片的主翼涡在45个翼展内的相对环量Γi/Γ1进行统计,四涡系统中主翼涡环量随翼展变化规律如图 11所示.主翼涡在添加扰流片后,能量衰减均得到很大程度上的促进,效果最佳的是添加a=50mm的矩形扰流片,主翼涡能量衰减达到了55.9%.
![]() |
| 图 11 四涡系统中主翼涡环量随翼展变化规律 Fig. 11 Circulation variation of primary vortex respecting to wingspan in four-vortex wake system |
对本文设置所有实验组别进行统计:记小翼涡初始环量与主翼涡初始环量的比值为Γ2/-Γ1,主涡能量衰减效率为η,平均衰减效率为η ,b2/b1为四涡距离比值关系,如图 1所示.在实验过程中发现圆形扰流片各组数据区分度不大,本文仅选取了圆形扰流片r=50mm作为样本,四涡系统中各参数关系统计结果如表 3所示.
扰流片 尺寸 | V/ (m·s-1) | α/(°) | b2/b1 | Γ2/-Γ1 | η/% | η/% |
| a=40mm | 0.4 | 8 | 0.4 | 0.406 | 37.30 | 42.0 |
| 10 | 0.4 | 0.367 | 36.80 | |||
| 0.5 | 6 | 0.4 | 0.414 | 41.30 | ||
| 8 | 0.4 | 0.373 | 45.80 | |||
| 10 | 0.4 | 0.376 | 48.60 | |||
| a=45mm | 0.4 | 6 | 0.45 | 0.411 | 47.60 | 48.1 |
| 8 | 0.45 | 0.391 | 43.80 | |||
| 10 | 0.45 | 0.38 | 49.70 | |||
| 0.5 | 6 | 0.45 | 0.388 | 46.50 | ||
| 8 | 0.45 | 0.402 | 49.80 | |||
| 10 | 0.45 | 0.402 | 51.20 | |||
| a=50mm | 0.4 | 6 | 0.5 | 0.409 | 53.10 | 49.7 |
| 8 | 0.5 | 0.440 | 40.20 | |||
| 10 | 0.5 | 0.491 | 49.40 | |||
| 0.5 | 6 | 0.5 | 0.443 | 50.70 | ||
| 8 | 0.5 | 0.467 | 48.80 | |||
| 10 | 0.5 | 0.489 | 55.90 | |||
| a=55mm | 0.4 | 6 | 0.55 | 0.479 | 51.30 | 52.0 |
| 8 | 0.55 | 0.482 | 47.70 | |||
| 10 | 0.55 | 0.472 | 53.40 | |||
| 0.5 | 6 | 0.55 | 0.439 | 50.80 | ||
| 8 | 0.55 | 0.465 | 53.80 | |||
| 10 | 0.55 | 0.469 | 55.10 | |||
| r=50mm | 0.4 | 6 | 0.5 | 0.423 | 44.00 | 42.8 |
| 8 | 0.5 | 0.498 | 43.70 | |||
| 10 | 0.5 | 0.475 | 36.90 | |||
| 0.5 | 6 | 0.5 | 0.425 | 40.70 | ||
| 8 | 0.5 | 0.488 | 47.20 | |||
| 10 | 0.5 | 0.455 | 44.20 |
可以看出,在本文设置的实验组合范围内(40mm≤a≤50mm,0.367≤Γ2/-Γ1≤0.491),随着矩形扰流片的长度a值不断增大,小涡与主涡的初始能量比Γ2/-Γ1整体趋于增大;Γ2/-Γ1值越大,主翼涡环量的衰减效果η整体越好;a=50mm的矩形扰流片对促进主涡衰减比r=50mm的圆形扰流片效果明显.
将表 3中对应的参数比值绘制到四涡系统分类图中做进一步分析,四涡系统分类图中有效参数组合的分布如图 12所示.
![]() |
| 图 12 四涡系统分类图中有效参数组合的分布 Fig. 12 Distribution of effective parameters combinations in four-vortex wake system classification chart |
图 12中的曲线表示稳定的反向四涡系统的参数组合;黑色矩形框表示本文29组实验对应的参数匹配范围.主涡在45个翼展衰减大于50%的参数组合主要集中在0.5≤b2/b1≤0.55,0.44≤Γ2/-Γ1≤0.49,在本文设置的实验组合中,b2/b1=0.5,Γ2/-Γ1≤0.489的主翼涡能量衰减最佳.
4 结 论
在二维PIV流场测量技术的辅助下,本文对四涡系统的R-L不稳定特性进行了实验研究,得到:
1) 飞机尾涡在自然情况下,能长时间稳定存在,衰减速度很慢.
2) 采用矩形机翼两侧装夹结构化扰流片的方式,能构建出具有自消散机制的尾流反向四涡系统.在合适的参数组配条件下,能够诱导主翼涡R-L不稳定性的出现.
3) 在适当的参数组配条件下,R-L不稳定性在尾流下洗区10~20个翼展内发生,导致主翼涡涡核破裂,主翼涡的环量明显降低.
4) 当a=r时,矩形扰流片对促进尾涡能量衰减的作用较圆形扰流片强.
5) 在测量的45个翼展区间内,主翼涡环量降低为初始环量的55%以上的组合主要集中在0.5≤b2/b1≤0.55,0.44≤Γ2/-Γ1≤0.49.
通过实验验证了R-L不稳定性在控制飞机尾流方面的应用潜力,为低尾流机翼的设计提供一定的参考,但本文仅在低雷诺数环境下,且设置的实验参数组合较少,后续的研究仍需要一定的优化.
| [1] | Burnham D C, Hallock J N.Decay characteristics of wake vortices from jet transport aircraft[J].Journal of Aircraft,2012,50(1):82-87. |
| Click to display the text | |
| [2] | Dacles-Mariani J, Hafez M,Kwak D.Prediction of wake-vortex flow inthenear-and intermediate-fields behind wings,AIAA-1997-0040[R].Reston:AIAA,1997. |
| Click to display the text | |
| [3] | Veillette P R. Data show that U.S.wake-turbulence accidents are most frequent at low altitude and during approach and landing[J].Flight Safety Digest,2002,21(3-4):1-47. |
| Click to display the text | |
| [4] | Holzäpfel F. Sensitivity analysis of the effects of aircraft and environmental parameters on aircraft eake vortex trajectories and lifetimes,AIAA-2013-0363[R].Reston:AIAA,2013. |
| Click to display the text | |
| [5] | Borer N K, Barrows T M,Levine D M,et al.Formation airdrop scaling effects on aircraft wake vortex formation and interaction,AIAA-2013-0361[R],Reston:AIAA,2013. |
| Click to display the text | |
| [6] | Burnham D C, Hallock J N.Decay characteristics of wake vortices from jet transport aircraft[J].Journal of Aircraft,2012,50(1):82-87. |
| Click to display the text | |
| [7] | Stewart E C. A study of the interaction between a wake vortex and an encountering airplane,AIAA-1993-3642[R].Reston:AIAA,1993. |
| Click to display the text | |
| [8] | Perry R B, Hinton D A,Stuever R A.NASA wake vortex research for aircraft spacing,AIAA-1997-0057[R].Reston:AIAA,1997. |
| Click to display the text | |
| [9] | Zheng Z C, Xu Y,Wilson D K.Behaviors of vortex wake in random atmospheric turbulence[J].Journal of Aircraft,2009,46(6):2139-2144. |
| Click to display the text | |
| [10] | Harris M, Young R I,K pp F,et al.Wake vortex detection and monitoring[J].Aerospace Science and Technology,2002,6(5):325-331. |
| Click to display the text | |
| [11] | Holzäpfel F, Frech M,Gerz T,et al.Aircraft wake vortex scenarios simulation package-WakeScene[J].Aerospace Science and Technology,2009,13(1):1-11. |
| Click to display the text | |
| [12] | Kauertz S, Holzäpfel F,Kladetzke J.Wake vortex encounter risk assessment for crosswind departures[J].Journal of Aircraft,2012,49(1):281-291. |
| Click to display the text | |
| [13] | Stephan A, Holzäpfel F,Misaka T.Aircraft wake-vortex decay in ground proximity-physical mechanisms and artificial enhancement[J].Journal of Aircraft,2013,50(4):1250-1260. |
| Click to display the text | |
| [14] | Rennich S C, Lele S K.Method for accelerating the destruction of aircraft wake vortices[J].Journal of Aircraft,1999,36(2):398-404. |
| Click to display the text | |
| [15] | Bao F, Vollmers H,Mattner H.Experimental study on controlling wake vortex in water towing tank[C]//Proceedings of 20th International Congress on Instrumentation in Aerospace Simulation Facilities.Piscataway,NJ:IEEE Press,2003:214-223. |
| Click to display the text | |
| [16] | 黄烁桥,申功忻, Robert Konrath,等.喷流对飞机尾流涡影响的试验研究[J].航空学报,2010,31(5):899-908. Huang S Q,Shen G X,Konrath R,et al.Experimental investigation of influence of jets on aircraft wake vortices[J].Acta Aeronautica et Astronautica Sinica,2010,31(5):899-908(in Chinese). |
| Cited By in Cnki (5) | |
| [17] | Urbatzka E, Wilken D.Estimating runway capacities of German airports[J].Transportation Planning Technology,1997,20(2):103-129. |
| Click to display the text | |
| [18] | Fabre D, Jacquin L.Stability of a four-vortex aircraft wake model[J].Physics of Fluids,2000,12(10):2438-2443. |
| Click to display the text | |
| [19] | Rennich S C, Lelet S K.Method for accelerating the destruction of aircraft wake vortices[J].Journal of Aircraft,1999,36(2):398-404. |
| Click to display the text | |
| [20] | Ortega J M, Bristol R L,Savas Ö.Experimental study of the instability of unequal-strength counter-rotating vortex pairs[J].Journal of Fluid Mechanics,2003,474:35-84. |
| Click to display the text | |
| [21] | Babie B M, Nelson R C.An experimental investigation of bending wave instability modes in a generic four-vortex wake[J].Physics of Fluids,2010,22(7):1-15. |
| Click to display the text | |
| [22] | Quackenbush T R, Boschitsch A H,Bilanin A J.Computational and experimental studies in multipair wake vortex instabilities,AIAA-2013-3190[R].Reston:AIAA,2013. |
| Click to display the text | |
| [23] | Jacquin L, Fabre D,Sipp D,et al.Instability and unsteadiness of aircraft wake vortices[J].Aerospace Science and Technology,2003,7(8):577-593. |
| Click to display the text | |
| [24] | 刘志荣,朱睿. 双翼尖涡Rayleigh-Ludwieg不稳定性实验研究[J].实验流体力学,2013,27(2):24-30. Liu Z R,Zhu R.Dual wingtips vortexes Rayleigh-Ludwieg instability experimental research[J].Journal of Experiments in Fluid Mechanics 2013,27(2):24-30(in Chinese). |
| Cited By in Cnki (1) | |
| [25] | He Y, Yang J W,Bao F.Wake vortex control using modified flaps[J].Applied Mechanics and Materials,2013,365:827-834. |
| Click to display the text |















