载人航天器密封舱氧分压控制系统的作用是在密封舱内制造出与地面环境类似的氧分压范围,是支持乘员在轨驻留的最重要子系统之一.文献[1, 2, 3]对目前常见的载人航天器的氧分压控制系统设计进行了介绍,范剑峰和黄祖蔚[4]描述了载人飞船的氧分压控制系统设计,Antonacci等[5]介绍了自动转移飞行器(Automated Transfer Vehicle,ATV)的氧分压控制系统设计,Anderson和Martin[6]描述了阿波罗登月舱的氧分压控制系统设计,Mitchell等[7]则对和平号空间站的氧分压控制系统进行了概述,文献[8, 9]针对国际空间站的氧分压控制系统设计进行了总结.国外载人航天型号均配备消耗性氧气瓶作为气源,通过氧分压传感器实时监测舱内氧分压,当空气氧分压水平达到下限时,启动补气组件,气体由高压气瓶经减压阀和供气管路以设定的速率流入密封舱内,当空气氧分压达到上限时,补气过程结束.
目前的载人航天器型号多为由若干密封舱段在轨组装形成的组合体,如“国际空间站”、“和平号空间站”,我国发射的天宫一号在轨期间也多次与载人飞船对接形成两舱组合体.对于这种载人航天器组合体,通常是由单个舱段负责整个组合体密封舱的氧分压控制.
在载人航天器密封舱气压控制方面,徐向华等[10]利用集总参数模型和理想气体模型分析了密封舱内氧分压和总压的控制情况,揭示了密封舱内总压和氧分压处于波动状态,且受乘员代谢水平影响.芮嘉白等[11]分析得出了密封舱内氧分压和总压变化规律的解析解,并将计算结果与试验结果进行比分.靳健等[12]建立了密封舱大气环境集成数学模型,分析了单舱密封舱内总压和氧分压随乘员驻留时间的变化趋势.
综上所述,目前关于密封舱氧分压控制的研究工作主要集中在单舱范围.多舱段组合体是目前载人航天器最常见的结构形式,组合体氧分压控制比单舱情况更复杂,涉及到舱间传质速率、乘员驻留位置、各舱氧分压监控策略等多种因素.
本文利用集总参数法建立了两舱段载人航天器密封舱氧分压控制系统数学模型,利用关键性能参数、代数方程、微分方程对密封舱气压控制系统各个关键部件的性能进行了描述,从而形成各个部件的数学模型和接口关系;参照载人航天器气压控制系统各个组件的物质流向关系,将各个组件的数学模型进行连接,搭建了两舱密封舱氧分压控制系统仿真分析模型,并利用该集成模型分别分析了舱间通风(Inter Module Ventilation,IMV)量、乘员驻留位置、不同氧分压监控模式对两舱氧分压控制过程的影响,为多舱段载人航天器空气环境控制系统参数设计和优化提供依据.
1 仿真分析模型 1.1 两舱段载人航天器氧分压控制系统说明
参考国内外载人航天器型号[1, 2, 3, 4, 5, 6, 7, 8, 9]气压控制系统设计,与组合体密封舱氧分压控制直接相关的元素为:
1) 密封舱体:分为主控氧分压的密封舱和非主控氧分压的密封舱,是航天员的驻留场所,氧气的补加、氮气的补加、航天员代谢耗氧、空气温度变化等因素均会改变密封舱内气体的质量、成分、气压.
2) 航天员:非泄漏模式下,航天员代谢耗氧是最主要的氧气消耗方式,而航天员总代谢速率随着代谢水平、人数的变化而变化.
3) 氧气补加组件:配置在氧分压主控舱段,包括高压氧气瓶、减压阀、控制阀等部件,监测密封舱内氧分压水平,当氧分压低于下限时,以固定速率向密封舱内供氧气,当密封舱氧分压达到上限时,供氧过程结束.
4) 舱间通风系统:在主控舱配备舱间通风风机,将非主控舱的空气抽至主控舱,主控舱空气通过对接通道回风至非主控舱,舱间通风量可以进行调节.
综上所述,两舱段载人航天器氧分压控制系统组成如图 1所示.
![]() |
| 图 1 两载人航天器密封舱氧分压控制系统组成 Fig. 1 Structure of oxygen partial pressure control system of manned spacecraft with two pressurized cabins |
本文采用数学分析软件平台Ecosimpro作为载人航天器密封舱气压控制系统仿真建模的基础平台,该平台是欧洲空间局(European Space Agency,ESA)官方选用分析工具.该平台配备有载人航天器环控生保模型数据库(Environmental Control and Life Support Systems library,ECLSS library),包含有环控生保系统常用设备的数学模型,定义的各个数学模型的参量、变量、公式、接口经过了在轨型号的验证,ESA曾利用该数据库搭建国际空间站哥伦布舱空气环境控制系统仿真分析模型,并用于国际空间站哥伦布舱空气环境控制系统的设计与在轨性能分析工作[13].
氧分压控制各个要素的控制方程和参变量描述为:
1) 密封舱.
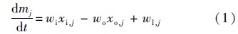
密封舱是氮气、氧气的容纳空间,航天员的代谢耗氧、温度变化等因素会造成密封舱内气体质量变化和气压变化,因此,密封舱主要控制方程为质量守恒方程和空气能量守恒方程.
质量守恒方程为





式中:ρair为密封舱空气密度;Vair为密封舱容积.
空气能量守恒方程为

式(1)~式(6)确定了舱内空气的密度ρair、内能Uair和各种组分的摩尔分数yair,j,则舱内空气状态可以确定,舱内气压Pair、空气温度Tair和空气焓值hair可以通过理想气体相关的方程求出,各种组分的分压为

1.2节建模过程中遵循假设: ①密封舱内空气温度均匀一致;②密封舱内空气成分均匀一致.
2) 供氧组件/供氮组件.
供氧组件和供氮组件分别监测密封舱内氧分压和总压水平,当氧分压或总压低于下限时,启动补气流程,以设定的固定速率向密封舱内补气,当氧分压或总压达到上限时,补气流程结束,补气量随时间的变化率就是补气速率,因此,控制方程包含以下两个方面.
供氧总质量为

供氮总质量为

3) 舱间通道接口关系.
总质量流量为


两舱段载人航天器密封舱氧分压控制系统模型如图 2所示.
![]() |
| 图 2 两密封舱段载人航天器密封舱氧分压控制系统数学模型 Fig. 2 Mathematical model of oxygen partial pressure control system of manned spacecraft with two pressurized cabins |
为验证本文建立的仿真分析模型的正确性,将模型计算得到的密封舱氧分压和总压随时间的结果与地面试验结果进行对比.该试验为我国载人航天二期工程阶段,中国航天员科研训练中心开展的真人驻留试验,2名航天员在容积为58.7m3的模拟密封舱内连续驻留15d,用于综合验证密封舱内空气环境控制系统的工作性能,其中,2名航天员的人均耗氧速率为0.73kg/d,密封舱内空气温度由温湿度控制系统控制在20~22℃范围内,氧分压的控制范围是20~24kPa,通过总压传感器和氧分压传感器监测模拟密封舱内总压和氧分压变化趋势.
数学模型设定与驻留试验一致的密封容积、航天员耗氧速率、氧分压上下限阀值,并设定密封舱内空气温度为21℃,将计算结果与试验结果进行对比,如图 3所示.
本文计算了图 3(a)中氧分压试验测试结果PO2,exp与仿真计算结果
.结果表明,由于试验和
计算过程的供氧开始时间和关闭时间存在小幅度偏差,造成供氧过程刚开始的短时间内以及供氧过程刚结束的短时间内,氧分压试验结果与计算结果氧分压的偏差最大达到15%,其他时间段内二者的偏差不超过5%.
![]() |
| 图 3 密封舱氧分压及空气总压计算结果与试验结果对比 Fig. 3 Comparison of oxygen partial pressure and total air pressure in pressurized cabin between calculation and experimental results |
本文计算了图 3(b)中总压试验测试结果Pair,exp与仿真计算结果Pair,cal之间的偏差,即
结果表明,由于试验和计算过程的供氧开始时间和关闭时间存在小幅度偏差,造成供氧过程刚开始的短时间内以及供氧过程刚结束的短时间内,总压试验结果与计算结果氧分压的偏差最大达到7%,其他时间段内二者的偏差不超过2%.
上述分析表明,计算结果与试验测试结果吻合程度较好,表明本文建立数学模型的正确性.
2 结果与分析 2.1 乘员驻留位置对氧分压的影响
乘员的驻留位置会在主控舱和非主控舱之间变化,为分析乘员驻留位置变化对两舱氧分压水平的影响,本文计算了乘员分别驻留在主控舱和非主控舱时两舱的氧分压水平随在轨时间的变化趋势,在轨时间为5d,计算过程做如下简化:
1) 参考国内外载人航天型号的在轨飞行经验,5d时间内因舱体泄漏对氧分压造成的影响十分有限,本文在分析过程中忽略舱体泄漏,乘员代谢是唯一耗氧途径.
2) 设定密封舱内不同位置氧分压分布是一致的,忽略氧分压分布的不均匀性.
3) 航天员在轨驻留期间,代谢水平会随着不同的活动形式发生改变,耗氧速率也会随着发生变化,为简化计算过程,设定航天员的耗氧速率是恒定的.
4) 由于载人航天器密封舱内配备主动式空气温湿度控制系统,忽略补气过程对空气温度的影响,设定密封舱空气温度维持在21.5℃.
主要初始条件和边界条件包括:
1) 设定两密封舱有效气体容积均为60m3.
2) 参考“国际空间站”[8]的指标要求,两密封舱氧分压控制范围为20~24kPa,总压控制范围为87~100kPa.
3) 设定两密封舱初始空气压为94kPa,初始氧分压为24kPa.
4) 设定航天员人数为6人,参考“国际空间站”的设计经验,单个航天员的耗氧速率设定为0.86kg/d.
5) 设定氧气瓶补气速率为0.0032kg/s.
6) 设定舱间通风量为0.5m3/min.
乘员在主控舱及非主控舱,舱间通风量为0.5m3/min时的密封舱氧分压变化趋势如图 4所示.
将图 4(a)与图 3(a)对比可知,两舱组合体氧分压变化趋势与单舱氧分压变化趋势存在显著不同,由于设定乘员耗氧速率恒定,单舱氧分压从峰值呈线性下降直至下限.而对于两舱组合体,主控舱氧分压从峰值开始首先呈现非线性快速下降,这是因为主控舱段氧分压不但受到乘员代谢耗氧的影响,还受到舱间传质的影响,当主控舱氧分压达到上限停止供氧后,舱间通风的输运作用将主控舱的氧气传递至非主控舱,因此,主控舱段的氧分压要比单舱情况下降的更为迅速,与之相对的是,非主控舱段的氧分压则在这个过程中快速上升,直至两舱氧分压水平一致,两舱氧分压开始呈现斜率一致的线性下降.由于乘员首先消耗主控舱的氧气,两舱氧分压一致后,主控舱的氧分压比非主控舱下降的更快,当主控舱氧分压达到下限时,供氧过程开始,两舱氧分压又开始上升.主控舱段氧分压在20~24kPa之间变化,而非主控舱段氧分压则在20.2~22.2kPa之间变化,氧分压上限差值达到1.8kPa.
![]() |
| 图 4 乘员在主控舱及非主控舱,舱间通风量为0.5m3/min时的密封舱氧分压变化趋势 Fig. 4 Varying trend of oxygen partial pressure in pressurized cabin,when crew in control-cabin and un-control-cabin and IMV flux equals to 0.5m3/min |
由图 4(b)可知,乘员驻留位置变化后,由于乘员首先消耗非主控舱段的氧气,非主控舱氧分压始终低于主控舱氧分压,非主控舱氧分压首先达到下限,供氧过程开始,主控舱氧分压首先达到上限,供氧过程结束.主控舱氧分压在20.3~24kPa之间变化,非主控舱氧分压则在20~21.8kPa之间变化,氧分压上限差值达到2.2kPa.说明乘员驻留在非主控舱会进一步加大两舱氧分压分布范围的差别.
2.2 舱间通风量对氧分压的影响
舱间通风量直接影响两舱间的传质速率,进而影响两舱的氧分压分布,为分析舱间通风量对两舱氧分压水平的影响,本文计算了6名乘员驻留在非主控舱,舱间通风量分别为0.3m3/min和1m3/min时两舱氧分压水平随在轨时间的变化趋势,在轨时间为5d,其他假设、边界条件和初始条件同第 3.1节.舱间通风量对氧分压的影响结果如图 5所示.
对比图 4(b)、图 5(a)和图 5(b)可知,随着舱间通风量的增大,两舱氧分压分布范围在逐渐缩小.当舱间通风量为0.3m3/min时,主控舱氧分压范围为20.4~24kPa,非主控舱氧分压范围为20~21.4kPa,氧分压上限差值达到2.6kPa.当舱间通风量为1m3/min时,主控舱氧分压范围为20.2~24kPa,非主控舱氧分压范围为20~22.2kPa,氧分压上限差值达到1.8kPa.
![]() |
| 图 5 乘员在非主控舱,舱间通风量为0.3m3/min及1m3/min时密封舱氧分压变化趋势 Fig. 5 Varying trend of oxygen partial pressure in pressurized cabin,when crew in un-control-cabin and IMV flux equals to 0.3m3/min and 1m3/min |
进一步分析不同舱间通风量下两舱氧分压上限差值变化趋势,如图 6中实心方框标示的曲线所示.
![]() |
| 图 6 乘员在非主控舱时的两舱氧分压上限差值随舱间通风量变化趋势 Fig. 6 Varying trend of oxygen partial pressure peak value difference between two cabins with IMV flux, when crew in un-control-cabin |
第2.2节计算结果表明,舱间通风量对两舱氧分压分布,尤其是非主控舱氧分压有显著影响,随着舱间通风量的增加,两舱氧分压水平逐渐接近,主要体现在非主控舱氧分压上限越来越接近主控舱氧分压上限,但随着舱间通风量的不断增加,两舱氧分压水平的接近幅度会越来越小.
2.3 监测模式对氧分压的影响
第2.1节和第2.2节计算分析过程中,均设定同时监测主控舱和非主控舱氧分压水平,两舱氧分压水平均作为供氧过程开始或结束的判断依据,为进一步认识不同因素对两舱氧分压的影响,本文分析了只监测主控舱氧分压的监测模式下两舱氧分压变化趋势,6名乘员驻留在非主控舱,舱间通风量为0.5m3/min,在轨时间为5d,其他假设、边界条件和初始条件同第2.1节.监测模式对氧分压的影响结果如图 7所示.
![]() |
| 图 7 乘员驻留在非主控舱监测主控舱,舱间通风量为0.5m3/min时密封舱氧分压变化趋势 Fig. 7 Varying trend of oxygen partial pressure in pressurized cabin,when crew in un-control-cabin monitoring control-cabin,and IMV flux equals to 0.5m3/min |
由图 7可知,由于监测主控舱氧分压,主控舱氧分压在20~24kPa范围内变化,非主控舱氧分压在19.8~21.7kPa范围内变化,两舱氧分压下限差值为0.2kPa,上限差值为2.3kPa.对比图 4(b)可知,当同时监测两舱氧分压时,两舱氧分压下限差值为0.3kPa,上限差值为2.2kPa,两种监测模式对应的两舱氧分压上限差值只有0.1kPa,下限差值也只有0.1kPa,表明监测模式的变化对两舱氧分压水平的影响并不明显.
为全面考虑两种监测模式对氧分压的影响,本文分析了不同舱间通风量下,主控舱氧分压监测模式对应的两舱氧分压上限差值变化趋势,见图 6中空心圆圈所标示的曲线.当舱间通风量较小时,单舱氧分压监测模式的氧分压上限差值要高于两舱监测模式,为评估这种差别的大小,本文计算了主控舱氧分压上限PO2,up1与非主控舱氧分压上限PO2,up2之间的差值 PO2,up1-PO2,up2 在两种监测方式下的差别.如图 6所示,当舱间通风量为0.3m3/min时,两种控制模式对应的两舱氧分压上限差值之间相差约为3.7%,当舱间通风量为1.0m3/min时,两种控制模式对应的两舱氧分压上限差值之间相差约为2.7%.当舱间通风量超过1.5m3/min时,两种监测模式对应的氧分压上限差值已经一致.
3 结 论
本文建立了两舱段载人航天器密封舱氧分压控制系统数学模型,通过计算结果与试验数据的对比分析,证明了数学模型的正确性.针对两个密封舱容积为60m3的载人航天器密封舱的氧分压控制过程进行了计算分析,得到:
1) 乘员的驻留位置对非主控舱的氧分压影响更明显,当舱间通风量为0.5m3/min时,控舱氧分压在20.3~24kPa之间变化,非主控舱氧分压则在20~21.8kPa之间变化,氧分压上限差值达到2.2kPa.
2) 随着舱间通风量的增加,非主控舱氧分压上限越来越接近主控舱氧分压上限,但随着舱间通风量的不断增加,两舱氧分压水平的接近幅度会越来越小.
3) 单舱监测模式和两舱监测模式对两舱氧分压控制效果影响不大,当舱间通风量超过1.5m3/min 时,两种控制模式的氧分压控制效果趋于一致.
| [1] | Larson W J, Pranke L K.Human spaceflight:Mission analysis and design[M].New York:The McGraw-Hill Companies,2001:539-574. |
| [2] | 林贵平,王普秀. 载人航天生命保障技术[M].北京:北京欧美大片ppt免费大全出版社,2006:84-148. Lin G P,Wang P X.Life support technology of manned spacecraft[M].Beijing:Beihang University Press,2006:84-148(in Chinese). |
| [3] | 戚发轫. 载人航天器技术[M].北京:国防工业出版社,1999:82-95. Qi F R.Manned spacecraft technology[M].Beijing:National Defense Industry Press,1999:82-95(in Chinese). |
| [4] | 范剑峰,黄祖蔚. 载人飞船工程概论[M].北京:国防工业出版社,2000:52-70. Fan J F,Huang Z W.Introduction of manned spaceship industry[M].Beijing:National Defense Industry Press,,2000:52-70(in Chinese). |
| [5] | Antonacci M, Bruno G,Gera G,et al.The design and the verification of the ATV cargo carrier environmental control and life support system and water & gas delivery system,SAE 2000-01-2299[R].Warrendale,PA:SAE International,2000. |
| Click to display the text | |
| [6] | Anderson G, Martin C E.Evaluation and application of Apollo ECLS/ATCS systems to future manned missions,AIAA-2005-0703[R].Reston:AIAA,2005. |
| Click to display the text | |
| [7] | Mitchell K L, Bagdigian R M,Carrasquillo R L.Technical assessment of MIR-1 life support hardware for the international space station,NASA TM1994-108441[R].Washington,D.C.:NASA,1994. |
| Click to display the text | |
| [8] | Wieland P O. Living together in space:The design and operation of the life support systems on the international space station,NASA/TM1998-206956[R].Washington,D.C.:NASA,1998. |
| Click to display the text | |
| [9] | 付仕明,裴一飞, 郄殿福.国际空间站集成ECLSS/TCS试验综述[J].航天器环境工程,2010,27(4):447-451. Fu S M,Pei Y F,Qie D F.Review of integrated ECLSS/TCS tests for ISS[J].Spacecraft Environment Engineering,2010,27(4):447-451(in Chinese). |
| Cited By in Cnki (9) | |
| [10] | 徐向华,任建勋, 梁新刚,等.载人航天器密封舱内空气压力的动态分析[J].清华大学学报:自然科学版,2002,42(11):1492-1495. Xu X H,Ren J X,Liang X G,et al.Dynamic analysis of the cabin atmosphere in a manned spacecraft[J].Journal of Tsinghua University:Science and Technology,2002,42(11):1492-1495(in Chinese). |
| Cited By in Cnki (3) | |
| [11] | 芮嘉白,郑传先, 王普秀.载人航天器密封舱压控制规律解析解极其实验验证[J].航天医学与医学工程,2001,14(4):264-267. Rui J B,Zheng C X,Wang P X.Analysis solution and experimental verification of pressure control function of the sealed module of manned space vehicle[J].Space Medicine & Medical Engineering,2001,14(4):264-267(in Chinese). |
| Cited By in Cnki (4) | |
| [12] | 靳健,侯永青, 杨雷.载人航天器大气环境控制系统性能集成分析[J].航天器环境工程,2013,30(4):380-387. Jin J,Hou Y Q,Yang L.Integrated analysis of characteristics of the air environment control system of manned spacecraft[J].Space Environment Engineering,2013,30(4):380-387(in Chinese). |
| Cited By in Cnki (2) | |
| [13] | European Space Agency.Ecosimpro ECLSS library reference manual[M].Lawrenceville,GA:EA International,2008:316-319. |










