2. 军械工程学院 军械技术研究所, 石家庄 050003
2. Ordnance Technological Research Institute, Ordnance Engineering College, Shijiazhuang 050003, China
在工程实际中,为了判断装备的测试性设计水平是否达到了合同规定的指标要求,需要开展测试性验证试验.按照国家标准 (GB5080.5—1985)所规定的测试性验证试验方案需要进行大样本试验,而复杂装备由于造价昂贵、研制经费紧张,大样本工程上一般较难实现,也不利于装备的尽早定型[1, 2].
Bayes方法充分利用验前信息弥补现场试验信息的不足,可以在确保产品质量的前提下,有效地减少试验样本量,相关文献对此也进行研究.文献[3]针对现有的测试性验证试验方案,在一定的风险承受能力下都需要较大的故障样本量的问题,在经典抽样模型的基础上,运用证据理论方法,研究了基于测试性试验数据、测试性预计结果和专家经验等研制信息的基本信任分配函数的构造方法,建立了基于融合不同种类研制信息的测试性验证试验方案,由于利用了研制阶段的试验数据,得到的试验方案相比于二项分布法,样本量减少效果明显,但证据的可信度有待进一步研究;针对同样的问题,文献[4]引入差异因子,用来反映研制阶段产品的误检率(False Detection Rate,FDR)水平和产品验证需达到的FDR水平的差异,求得产品验证需达到的FDR的置信概率密度函数,参考风险的定义,重新确定了测试性验证试验方案,取得了较好的应用效果,然而该方法只考虑了研制阶段的测试性试验数据信息,未考虑其他来源的验前信息;文献[5]利用研制阶段试验数据建立了产品的FDR增长模型,以此描述FDR在研制阶段的变化趋势,然后利用专家信息确定模型中的超参数,进而得到FDR的验前分布,最后依据贝叶斯最大后验风险准则制定了新的测试性验证试验方案,与经典试验方案相比,具有很大的优越性,但该方法同样未考虑其他来源的验前信息;文献[6]研究了利用研制阶段试验数据评估产品测试性指标的方法,但只给出了验证的流程和一般方法;文献[7]建立了故障样本集的信息充分覆盖准则,并依此准则给出了确定测试性验证试验方案的方法,但该方法是基于所验证的产品测试性水平完全未知的情况下,所需要的故障样本量比较大;文献[8]通过引入继承因子,研究了基于混合Beta分布的成败型产品的Bayes可靠性鉴定试验方案的制定.
针对以上问题,本文提出了利用测试性验前信息确定测试性验证试验方案的新方法.首先,利用Beta分布对测试性验前信息进行描述,运用不同来源的测试性验前信息确定验前分布超参数;然后,定义验前分布不确定性测度和支持度作为验前信息加权融合因子,设计了相应的加权融合算法;接着,利用融合后的验前信息建立成败型装备测试性验证试验方案的Bayes决策模型,得到了基于改进混合验前分布的Bayes测试性验证试验方案;最后,通过实例分析验证了本文方法的有效性.
1 传统Bayes测试性验证试验方案由于经典测试性验证试验方案对故障样本量要求比较大,为了减少试验样本量,采用Bayes方法制定产品的验证试验方案,首先对参加试验的产品,给出其故障检测率P的先验分布.工程上一般考虑选取二项分布的Beta分布作为成败型产品的验前分布[9]:

故障检测率P的验前均值和方差分别为


在成败型定数抽样测试性验证试验方案中,产品的故障检测率为P,则故障检测失败的概率Q=1-P.在N次试验中,恰好有S次成功,成功次数S服从二项分布,其似然函数为

由式(1)和式(4),根据Bayes理论可以得到装备故障检测率P的验后分布为

设测试性验证试验方案为(n,c),则装备故障检测率为P时通过验证的概率为

拒收的概率为

当故障检测率的最低可接受值P1、设计要求值P0确定后,承制方风险α及使用方风险β为

α和β确定之后,即可通过式(8)求解鉴定方案(N,C).
采用上述Bayes方法虽然考虑了测试性验前信息,但却忽略了它们之间的差异,而实际工程中,不同来源的验前信息服从不同的验前分布,本身存在一定的差异,对装备测试性验前信息的贡献也是不同的,如果直接应用验前信息,则测试性评估的可信性会非常差,得到的验证试验方案样本量必然过于冒进.
2 Beta分布超参数的确定 2.1 基于子系统试验信息的超参数确定设第i个分系统的故障检测率为Pi,则验前分布为Beta(Pi;ai,bi),结合子系统少量的成败型试验数据(ni,fi),利用Bayes公式计算得Pi的验后分布为Beta(Pi;ai+ni-fi,bi+fi),求得Pi的一阶矩E(Pi)和二阶矩E(P2i)分别为[10]


设综合后相当于系统进行了N次现场试验,F次失效,对于由m个子系统组成的系统,系统故障检测率为

则系统测试结果成功概率P的一阶矩E(P)和二阶矩E(P2)分别为


联合式(9)、式(10)、式(12)和式(13)可求得N和F,即装备故障检测率的验前分布超参数a=N-F,b=F.
2.2 基于专家经验信息的超参数确定通过专家经验得到的测试性信息通常有以下两种形式[11]:
1) 测试性P的点估计值.

2) 测试性P的区间估计值.

需要将点估计或置信区间估计这种专家经验不完全分布信息转化为验前分布,引入验前概率密度函数π(P)的信息熵H(π(P))[12]为

在式(14)、式(15)约束下,求得使式(16)达到最大值的a、b的值即可.对于式(14)所示的点估计型的专家经验信息,将式(1)代入式(14)整理得

将式(17)代入式(16),对其进行求导,寻找一个使得H(π(P))达到极大值的b即可.
对于式(15)所示的置信区间型验前信息,计算相对比较复杂,具体过程见文献[13].
2.3 基于仿真试验信息的超参数确定假设仿真试验数据X={X1,X2,…,Xn},经过一致性检验.ωi为第i批仿真试验数据经过证据理论合成规则得到的权重[14, 15],mj为第j批仿真试验的故障样本总数,sj为故障检测成功样本总数.则第j批仿真试验的故障检测率为



以方差作为目标,均值作为约束,利用最优化模型式(21),联合式(2)、式(3)、式(19)和式(20)可求得验前分布超参数a、b.

信息熵是表示描述一个变量所需要的信息量,信息熵越大,描述该变量需要的信息越多.离散型随机变量X的信息熵定义为[16]

信息熵的定义满足以下3项假设:
1) 连续性.H(X)随着P(x)连续变化.
2) 峰值性.集合X中的各事件等概率发生时,熵值达到极大值.
3) 可加性.统计独立信息源X和Y的联合信息源的熵等于它们各自熵的和.
对于随机变量服从二项分布的信息熵H(X):

H(X)随P的变化规律如图 1所示.
![]()  | 
| 图 1 二项分布的信息熵H(X)与概率P的关系Fig. 1 Relationship between information entropy H(X) with binomial distribution and probability P | 
信息熵可以推广到连续型随机变量:

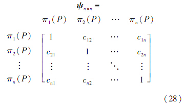
验前信息熵表示的是验前信息不确定性的度量.已知验前信息X={X1,X2,…,Xn},由验前信息Xi(i=1,2,…,n)得到的验前分布为πi(P)(i=1,2,…,n),当πi(P)为离散变量时,定义验前信息Xi的不确定性测度为

当πi(P)为连续型变量时,定义验前信息Xi的不确定性测度为

验前信息的不确定性测度可以完全刻画验前信息的随机性.验前信息的不确定性测度越大,表示该验前信息的随机性越大,即得到的验前分布更加符合真实的验前分布.
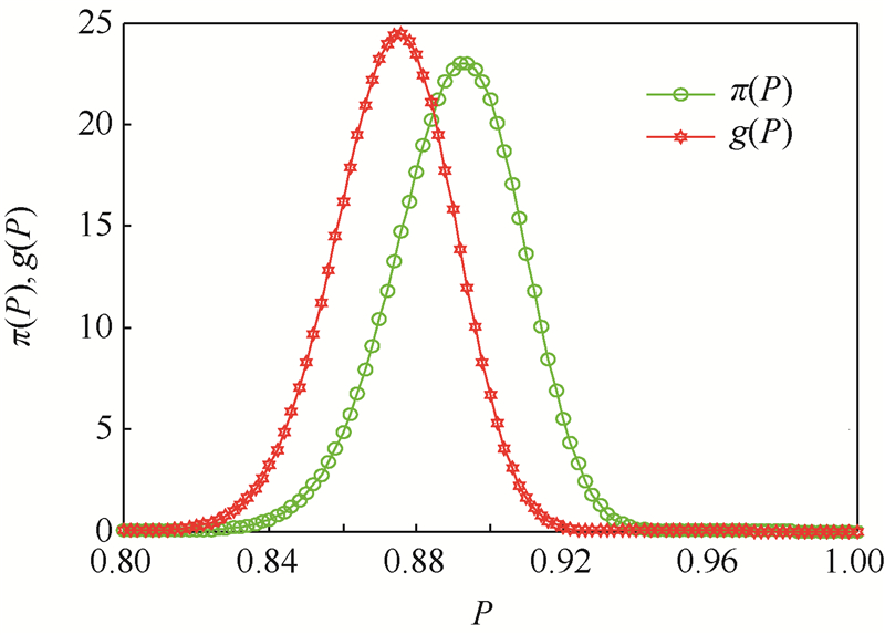
3.2 验前分布支持度的确定对于未知参数P,得到其不同来源的验前分布分别为π(P)和g(P),如图 2所示.两分布的重叠大小可以反映两种信息的相似程度.两者的重叠区域越大,则一致性程度越高,互相支持的程度越高.
![]()  | 
| 图 2 分布一致性示意图Fig. 2 Schematic diagram of distribution consistency | 
两分布的一致性度量定义为[17]

一致性度量越大说明对未知参数P的认知差异程度越小.设n种测试性验前信息对应的验前分布为π1(P),π2(P),…,πn(P),两两之间进行一致性检验,可以得到各分布之间的一致性度量矩阵:

那么,在i≠j的情况下矩阵按列相加,可以得到各分布被其他分布支持的程度:

3.3 验前分布加权融合
由于测试性试验条件等客观因素的存在,其现场试验样本与验前试验样本一般来说来自不同的总体.为了既有效利用验前信息,又能描述验前信息与现场信息的异总体性,并减少验前试验样本与现场试验样本异总体性对测试性评估的影响,需要以恰当的形式对验前信息进行融合.
记不同来源测试性信息的验前分布分别为πi(P),各验前信息的不确定性测度为Ii,支持度为Si,其中i=1,2,…,n.则确定验前分布的融合权重为

令
,则式(30)可简化为

这种获取验前分布权值的方法不仅考虑了验前分布本身对分布参数P的真实情况描述的接近程度,还考虑了其他来源的验前信息对自己的支持程度,能最大程度地剔除不合理的信息,保留合理有用的信息,优点是显而易见的.
则加权融合后的验前分布πIS(P)为

4 测试性验证试验新方案的确定
假设现场试验获得的成败型样本为X(N,F),其分布函数为

取上述混合Beta分布作为成败型产品的验前分布,依据Bayes定理,联立式(32)和式(33),整理得到验后分布πIS(P X )如下:

由式(33)可验证式(35)和式(36)成立:



当验证试验方案为(N,C)时,使用方承受的最大后验风险为

同理,承制方承受的最大后验风险为

因此根据贝叶斯最大后验风险准则制定的验证试验方案由以下方程组确定:


在给定产品的设计要求值P0、最低可接受值P1、生产方风险α和使用方风险β后,解方程组(40)得到基于混合验前分布的成败型产品测试性的验证试验方案(N,C).
5 案例分析某装备由4个分系统组成,如图 3所示.设该装备测试性设计要求值P0=0.96,最低可接受值P1=0.88,α=β=0.1.由文献[18]经典方法得出验证试验方案为(76,5),即试验次数为76,失败次数不超过5次可通过鉴定.通过计算可得到双方的理论风险为α=0.0964,β=0.0982.
![]()  | 
| 图 3 某型装备测试性结构模型Fig. 3 Testability structure model of a certain equipment | 
该装备系统在设计、研制过程中进行了大量的分系统试验,分系统试验数据及超参数计算结果如表 1所示.
| 分系统i | 分系统试验数据 | 分系统超参数 | 故障率λi | ||
| ni | fi | αi | βi | ||
| 1 | 46 | 1 | 84.28 | 2.15 | 0.01 | 
| 2 | 23 | 0 | 123.72 | 1.81 | 0.025 | 
| 3 | 34 | 1 | 27.55 | 0.82 | 0.015 | 
| 4 | 65 | 2 | 93.61 | 1.88 | 0.04 | 
根据表 1的试验数据,代入式(9)、式(10)、式(12)和式(13)计算出a=53.36,b=3.92,即由分系统计算得到的验前分布为π1(P)=Beta(P;53.36,3.92).
同时,测试性专家也给出了该系统测试性参数的点估计值P0=0.92,利用最大熵法可以求得a=66.98,b=8.46.即由专家经验信息得到的验前分布为π2(P)=Beta(P;66.98,8.46).
通过建立测试性虚拟样机,利用蒙特卡罗方法生成故障样本集,然后在样机上进行故障注入,启动BIT(Built-In-Test))仿真模型进行测试得到仿真试验数据如表 2所示,权重由文献[14]证据合成规则得到.
| 样本集序号 | 注入的故障总数 | 检测到的故障总数 | 点估计 | 权重 | 
| 1 | 52 | 50 | 0.96 | 0.195 | 
| 2 | 55 | 51 | 0.93 | 0.440 | 
| 3 | 49 | 45 | 0.92 | 0.313 | 
| 4 | 50 | 49 | 0.98 | 0.045 | 
| 5 | 53 | 47 | 0.89 | 0.011 | 
根据表 2的数据,代入式(18)、式(19)~式(21),计算得a=49.86,b=4.97,即由仿真数据计算得到的验前分布为π3(P)=Beta(P; 49.86,4.97).
由式(26)求得:I1=I(π1(P))=-2.064,I1=I(π2(P))=-1.931,I1=I(π3(P))=-1.893.从而求得:ωI1=0.351,ωI2=0.328,ωI3=0.321.
3个验前分布函数如图 4所示.
![]()  | 
| 图 4 验前分布函数示意图Fig. 4 Schematic diagram of prior distribution function | 
由式(27)可得它们之间的一致性度量矩阵:
  
那么可求得各分布的支持度为:S1=1.472,S2=1.283,S3=1.065.从而可求得ωS1=0.385,ωS2=0.336,ωS3=0.279.
由式(31)可求得WIS1=0.404,WIS2=0.329,WIS3=0.267.那么融合后的验前分布为
  
融合验前分布函数如图 5所示.
![]()  | 
| 图 5 融合验前分布示意图Fig. 5 Diagram of fusion prior distribution | 
系统共进行了32次现场试验,成功30次,失败2次,则验后分布为
π(P X ) = Beta(P;86.91,7.69)
根据式(40)得到基于验前信息的Bayes验证试验方案为(45,3).通过计算可得到双方的理论风险为α=0.0953,β=0.0971.
3种试验方案的对比如表 3所示.
| 方案类型 | 试验方案 | 理论风险 | 相对样本容量 | 
| 经典验证方案 | (76,5) | α=0.0964β=0.0982 | 1 | 
| 传统Bayes验证方案 | (39,2) | α=0.0956β=0.0979 | 0.51 | 
| 本文验证方案 | (45,3) | α=0.0953β=0.0971 | 0.59 | 
由表 3中的数据对比可以得出:
1) 在双方风险基本不变的情况下,传统Bayes验证试验方案和本文提出的验证试验方案与经典验证试验方案相比,样本量分别减少了49%和41%,都可以大大减少验证试验样本量;在样本量相同的情况下,按照经典测试性验证试验方法,不考虑测试性的验前信息,如果采用(45,3)的试验方案,使用方风险达到了58%;如果采用(39,2)的试验方案,使用方风险更高,达到了72%.而利用传统Bayes验证试验方法和本文提出的方法分别使用同样的方案使双方风险都控制在10%以内,都可大大降低试验风险.
2) 传统Bayes验证试验方案的样本量虽然比利用本文方法计算得到的样本量更少,但由于传统Bayes验证试验方法没有考虑验前信息之间的差别,得到的使用方案对使用方而言比较冒进,不能有效保护使用方的利益.本文提出的方法是对经典方法和传统Bayes方法的合理折衷,更加符合工程实际.
3) 按照本文提出的方法,如果采用试验方案(39,2),其使用方风险高达21%,如果采用(45,3)的试验方案,双方风险都控制在10%以内,相比传统Bayes方法得到的试验方案,双方风险大为降低.
6 结 论本文在研究测试性验前信息融合方法的基础上,建立了基于测试性验前信息的测试性验证试验方案的Bayes决策模型,其优点是:
1) 文中提出的测试性验前信息融合方法不仅考虑了验前分布本身对分布参数P的真实情况描述的接近程度,还考虑了其他来源的验前信息对自己的支持程度,能最大程度地剔除不合理的信息,保留合理有用的信息,得到的测试性验前信息更加可信.
2) 利用测试性验前信息,采用本文方法确定的测试性验证试验方案与经典测试性验证试验方案相比可减少试验样本量,或在试验样本量不变的情况下降低双方风险.
3) 利用测试性验前信息,采用本文方法确定的测试性验证试验方案与传统Bayes测试性验证试验方案相比能够克服传统Bayes测试性验证试验方案的冒进,结果更加科学合理.
| [1] | 明志茂,张云安, 陶俊勇,等.二项分布Bayes鉴定试验次数的选择与分析[J].系统工程与电子技术,2008,30(12):2512-2515. Ming Z M,Zhang Y A,Tao J Y,et al.Analysis of test scheme for a Bayes plan of qualification test in binomial case[J].Systems Engineering and Electronics,2008,30(12):2512-2515(in Chinese). | 
| Cited By in Cnki (6) | |
| [2] | 李进,赵宇,黄敏. 基于决策级数据融合的可靠性综合验证方法[J].北京欧美大片ppt免费大全学报,2010,36(5):576-579. Li J,Zhao Y,Huang M.Reliability integrated compliance testing plans based on decision making level data fusion[J].Journal of Beijing University of Aeronautics and Astronautics,2010,36(5):576-579(in Chinese). | 
| Cited By in Cnki (2) | |
| [3] | 常春贺,杨江平, 曹鹏举.基于研制信息的测试性验证试验方案研究[J].航空学报,2012,33(11):2057-2064. Chang C H,Yang J P,Cao P J.Study on the scheme of testability demonstration test based on development information[J].Acta Aeronautica et Astronautica Sinica,2012,33(11):2057-2064(in Chinese). | 
| Cited By in Cnki (5) | |
| [4] | 李天梅,邱静, 刘冠军.利用研制阶段试验数据制定测试性验证试验方案新方法[J].机械工程学报,2009,45(8):52-57. Li T M,Qiu J,Liu G J.New methodology for determining testability integrated test scheme with test data in the development stages[J].Journal of Mechanical Engineering,2009,45(8):52-57(in Chinese). | 
| Cited By in Cnki (10) | |
| [5] | 雷华军,秦开宇. 确定测试性验证试验方案的贝叶斯方法[J].系统工程与电子技术,2012,34(12):2612-2616. Lei H J,Qin K Y.Bayesian method for determination of testability demonstration test scheme[J].Systems Engineering and Electronics,2012,34(12):2612-2616(in Chinese). | 
| Cited By in Cnki (5) | |
| [6] | 石君友,田种. 测试性研制阶段数据评估验证方法[J].航空学报,2009,30(5):901-905. Shi J Y,Tian Z.Testability verification method based on data evaluation in development phase[J].Acta Aeronautica et Astronautica Sinica,2009,30(5):901-905(in Chinese). | 
| Cited By in Cnki (11) | |
| [7] | 石君友,康锐. 基于通用充分性准则的测试性试验方案研究[J].航空学报,2005,26(6):691-695. Shi J Y,Kang R.Study on the plan of testability demonstration based on the general adequacy criterion[J].Acta Aeronautica et Astronautica Sinica,2005,26(6):691-695(in Chinese). | 
| Cited By in Cnki (21) | |
| [8] | 明志茂,陶俊勇, 陈循,等.基于混合Beta分布的成败型产品Bayes可靠性鉴定试验方案研究[J].兵工学报,2008,29(2):204-207. Ming Z M,Tao J Y,Chen X,et al.A Bayes plan of reliability qualification test based on the mixed Beta distribution for success/failure product[J].Acta Armamentarii,2008,29(2):204-207(in Chinese). | 
| Cited By in Cnki (16) | |
| [9] | 周昊,赵修平, 吴文军.基于Bayes理论的发射装置测试性评估方法研究[J].弹箭与制导学报,2010,30(3):253-256. Zhou H,Zhao X P,Wu W J.Study on the method of testability assessment of some based on Bayes theory[J].Journal of Projectiles,Rockets,Missiles and Guidance,2010,30(3):253-256(in Chinese). | 
| Cited By in Cnki (9) | |
| [10] | 刘晗,谭林,郭波. 综合单元验前信息的系统可靠度Bayes评估[J].中国制造业信息化,2006,35(21):77-80. Liu H,Tan L,Guo B.The Bayes evaluation of system reliability used in the prior information of synthesis units[J].Manufacture Information Engineering of China,2006,35(21):77-80(in Chinese). | 
| Cited By in Cnki (5) | |
| [11] | 刘琦,武小悦, 张金槐.小子样武器系统可靠性评定过程中专家信息的规范化描述[J].航空动力学报,2007,22(1):37-40. Liu Q,Wu X Y,Zhang J H.Standardization of description for expert's opinion during weapon reliability evaluation under small sampling test[J].Journal of Aerospace Power,2007,22(1):37-40(in Chinese). Cited By in Cnki (13) | 
| [12] | 刘晗,郭波. 融合多源验前信息的成败型产品可靠性Bayes评估[J].弹箭与制导学报,2007,27(2):338-341. Liu H,Guo B.Fusion of information of multiple sources in Bayesian assessment for reliability of success or failure product[J].Journal of Projectiles,Rockets,Missiles and Guidance,2007,27(2):338-341(in Chinese). | 
| Cited By in Cnki (12) | |
| [13] | 马智博,朱建士, 徐乃新.利用多种信息源的可靠性评估方法[J].计算物理,2003,20(5):391-398. Ma Z B,Zhu J S,Xu N X.Reliability assessment using multiple information sources[J].Chinese Journal of Computation Physics,2003,20(5):391-398(in Chinese). Cited By in Cnki (14) | 
| [14] | Liu G J, Zhao C X,Qiu J,et al.Testability integrated evaluation method based on testability virtual test data[J].Chinese Journal of Aeronautics,2014,27(1):85-92. | 
| Click to display the text | |
| [15] | Wu J N,Yan S Z, Xie L Y.Reliability analysis method of a solar array by using fault tree analysis and fuzzy reasoning Petri net[J].Acta Astronautica,2011,69(11-12):960-968. | 
| Click to display the text | |
| [16] | 龚伟. 基于信息熵和互信息的流域水文模型不确定性分析[D].北京:清华大学,2012. Gong W.Watershed model uncertainty analysis based on information entropy and mutual information[D].Beijing:Tsinghua University,2012(in Chinese). | 
| Cited By in Cnki (5) | |
| [17] | 刘琦,武小悦. Bayes方法应用中验前分布选择的一致性与可信性原则[J].系统工程与电子技术,2010,32(11):2356-2359. Liu Q,Wu X Y.Principles of consistency and reliability for prior distributions selection in Bayesian method application[J].Systems Engineering and Electronics,2010,32(11):2356-2359(in Chinese). | 
| Cited By in Cnki (4) | |
| [18] | 田种,石君友. 系统测试性设计分析与验证[M].北京:北京欧美大片ppt免费大全出版社,2003:363-395. Tian Z,Shi J Y.Design,analysis and demonstration of system testability[M].Beijing:Beihang University Press,2003:363-395(in Chinese). | 








