2. 可靠性与环境工程技术重点实验室, 北京 100191
2. Science and Technology on Reliability and Environmental Engineering Laboratory, Beijing 100191, China
Adhoc网络是一种新型的无线网络,这种网络是一个不需要基础设施的自创造、自组织和自管理的网络[1].相对于传统的蜂窝网,它不需要基站,所有的节点分布式运行,同时具有终端和路由器的功能,可发送、接收和转发分组.由于这种网络组网迅速、灵活性好、适应不同环境能力强、抗毁能力强,因此已广泛应用于军事、救灾等领域.
随着Ad hoc网络应用领域的不断拓展,在该网络中实现服务质量(Quality of Service,QoS)越来越引起人们的关注[2].在数据传输中,由于地形环境、电磁干扰等因素,导致数据错误,严重影响网络的QoS.为此,数据完整性被提出用来描述网络中信息被正确传送的能力,与误码率相关[3].
由于Adhoc网络的移动性、地形复杂等原因,其数据完整性处于动态变化中.与可靠性参数类似,数据完整性相关参数的试验验证也需要根据任务想定制定试验剖面,某些网络任务想定时间很长 (例如文献[4]中军用通信网任务想定为7d(168h);文献[5]中Ad hoc网络的任务想定为12h),考虑到试验的充分性,试验时间也可能很长.
为了节省试验时间,节约试验费用,可以考虑采用加速试验方法对Ad hoc网络进行数据完整性加速验证.彭承柱和彭明宇[6]提出用外接的光衰减器,降低光信号的噪声比,从而在短时间内增大误码率,实现了加速试验的目的.Palacharla等[7]针对低误码率的计算机数据链接,提出通过光子或电子添加正弦干扰和阈值修改的方法来加速误码率的测量.然而,上述文献的研究对象是有线网络,复杂的无线移动网络中,会呈现出移动性和不稳定性等新特点.Singh等[8]利用系统生成器按一定顺序将现场可编程门阵列(Field Programmable Gate Array,FPGA)连接到Simulink建立硬件加速器,从而加速产生误码率.这种硬件加速器是在加成性高斯白噪声(Additive White Gaussian Noise,AWGN)信道下,使用高斯噪声发生器(Gaussian Noise Generator,GNG)来验证其性能的.Xilinx[9]指出当概率密度函数(Probability Density Function,PDF)的尾部即当|n|≥4.8σn时,GNG的准确度会下降.在文献[8]中,AWGN准确度的概率密度函数限制在区间[0.2σn%,4.8σn%]中,其中σ2n是噪音功率.然而,可靠的误码率测量需要GNG在高斯PDF的尾部也能准确地产生样本.同时,线性高斯信道在无线移动通信系统中是相当不充分的模型,现实中无线移动通信系统的通道模型必须要考虑多路径衰落[10].相似理论是开展模型试验、提高试验效率的有效方法,李瑞莹等[11]基于相似理论讨论了基于M/M/1排队模型的网络及时可靠性加速试验问题.然而,数据完整性的故障机理与时延故障的机理完全不同,因此有必要对Ad hoc网络的数据完整性加速试验方法进行研究.
本文拟在相似理论[12]的基础上,设计Ad hoc网络数据完整性的加速模型[13].与相似理论广泛应用的流体力学领域[14]类似,Ad hoc网络中传输的数据流也需要服从相应的规律.本文拟确定影响数据完整性的规律,并在此基础上推导相似模型,即加速模型,为Ad hoc网络的数据完整性加速试验奠定基础.
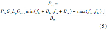
1 基本概念数据完整性的度量指标为数据完整率,判据是用户可接受的最大误码率,通信网络数据完整度可以表达为


根据式(1),Ad hoc网络数据完整度由误码率及其阈值的关系确定,而在通信系统中,误码率由调制方式和有效信噪比确定.在一些主要的调制方式下,误码率与有效信噪比的关系如表 1所示[15].
| 调制方式 | 关系式 | 
| BPSK | Pe=${\textstyle{1 \over 2}}erfc\left( {\sqrt r } \right)$ | 
| BASK | Pe=${\textstyle{1 \over 2}}erfc\left( {\sqrt {r/4} } \right)$ | 
| BFSK | Pe=${\textstyle{1 \over 2}}erfc\left( {\sqrt {r/2} } \right)$ | 
注:BPSK—二进制相移键控;BASK—二进制幅度键控;BFSK—二进制频移键控;erfc函数—计算方法为erfc(x)=(2/$\sqrt \pi $ )$\int_x^\infty {{e^{ - {x^2}}}} dx$;Pe—误码率;r—有效信噪比,dB.
可知在调制方式一定的前提下,只要有效信噪比不变,则误码率及其对应的数据完整度不变.
2.1 有效信噪比的相似模型根据文献[16]可知,有效信噪比为



主要的传播损耗包括两种计算模型:自由空间模型和Longley-Rice模型.
1) 自由空间模型视天线处在真空之中,不考虑任何大气的影响,不被障碍物遮挡,其传播损耗模型为

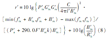
联合式(3)~式(6),可以得到自由空间模型下的有效信噪比为

利用相似定理得到相似现象为


联立式(3)、式(8)和式(9)可得

如果要加速后r不变(即Cr=1),则可推知,只要

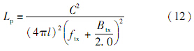
2) Longley-Rice模型根据天线高度和地形参数计算无线电波的反射、折射和绕射、地面反射,并结合自由空间传播损耗公式,综合考虑、地面反射和地形衍射,计算路径损耗.传播损耗Lp计算方法为

按照前述方法,可以得到Longley-Rice模型中要使加速后r不变,同样要达到式(11).
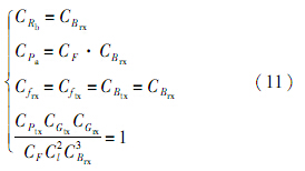
由于本文仅考虑与时间相关的参数进行相似变换,而并不考虑空间的相似变换,所以令Cl=1.同时,天线增益为无量纲参数,且天线增益计算仅与距离有关,因此直接令其相似系数为1,即CGtx=CGrx=1.噪声图样F也是一个无量纲参数,所以可以取CF=1.由此,可以得到有效信噪比r的相似模型为

随着网络传输速率的提高,网络数据到达强度的同比提高,相同时间内到达的数据包个数增多,信息量增大.为了达到定数截尾试验所需的数据量要求,当网络数据到达强度增大ε倍以后,试验时长可减小ε倍,两次试验的数据量不变.即试验时长t和网络数据到达强度λ、数据传输速率Rb的相似关系为

在移动距离L不变的情况下,移动时间与移动速度的关系为tv=L,由于不考虑空间变换关系,L不变,所以移动时间与移动速度的相似常数关系为

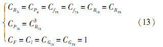
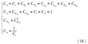
整理式(13)~式(15),得到Ad hoc网络数据完整性的相似准则为

为了验证上述相似模型,设计了Ad hoc网络仿真实验.假设河北某地发生灾害,需要救灾.一个救灾分队有4个人,每人携带一部计算机作为一个通信节点,在远离固定通信设施的地方,组成一个Ad hoc网络,相互通信.
3.1 参数设置根据任务想定,Ad hoc网络中4个通信节点相互通信,互为收发节点,通过DSR协议,执行多FTP数据传输业务.工作时每个节点的配置相同:Ptx=0.001W,Btx=22MHz,Brx=22MHz,ftx=2401MHz,frx=2401MHz,Rb=1Mb/s,网络数据到达强度服从均匀分布且λ=1包/s.任务执行过程中,设置每个节点的移动轨迹,且节点的移动速率相同:v=10km/h.根据试验要求,确定数据完整性试验时间为t=1h.
假设可行的加速因子α=2,即将时间缩短为原来一半进行加速试验.根据相似模型,确定Cλ=Cv=CRb=Cfrx=Cftx=CBtx=CBrx=2,CPtx=8,Ct=0.5,则有加速后的通信节点的发射功率P′ tx=0.008W、发射带宽B′ tx=44MHz、接收带宽B′ rx=44MHz、发射频率f′ tx=4802MHz、接收频率f′ rx=4802MHz、 网络传输速率R′ b=2Mb/s、网络数据到达强度服从均匀分布且λ′=2包/s,移动节点的移动速率为v′=20km/h,仿真时间t′=0.5h.
3.2 仿真验证本案例采用业内通用的通信网络仿真平台OPNET进行仿真应用与数据验证.OPNET是一个功能强大的仿真软件,支持各类通信网络和分布式系统的模拟和仿真,采用模块化的设计和数学分析的建模方法,能够对各种网络设备、通信链路和各层网络协议实现精确建模[17].在网络规划与设计以及对现有网络的分析方面都有很好的表现,同时也为通信协议和路由算法的研究提供了与真实网络相似的环境[18].
按照任务想定在OPNET中搭建1km×1km的网络场景,导入河北地区真实地形数据(等高线如图 1的红色线段所示).案例中,选择Lonely-Rice路径损耗模型,具体参数见表 2.
![]()  | 
| 图 1 网络拓扑及移动路径Fig. 1 Network topology and moving path | 
| 参数 | 数值 | 
| 表面折射率 | 300 | 
| 相对介电常数 | 15 | 
| 大地导电率 | 0.05 | 
| 湿度 | 300 | 
4个无线通信节点A、B、C、D的拓扑结构和移动路径(X1→X2→X3→X1,X=A,B,C,D)如图 1所示.
分别按照原始网络和相似网络中的参数对网络进行设置并运行,误码率统计结果分别如图 2、图 3所示.其中纵坐标代表误码率的值,横坐标代表时间.4种不同颜色的线分别代表节点1、2、3、4的仿真结果.
![]()  | 
| 图 2 原始网络仿真结果Fig. 2 Simulation results of original network | 
![]()  | 
| 图 3 相似网络仿真结果Fig. 3 Simulation results of similar network | 
通过对比图 2和图 3中各个网络节点的误码率,可以看出其走势基本是一致的.为了进一步对比,根据收集得到的误码率数据进行数据完整性分析.原始网络和相似网络上分别收集到14405个数据包,假设所允许的最大误码率Emax为0.00002,发现原始网络符合要求的数据包有9711个,根据式(2)计算得到网络数据完整度I=9711/14405≈0.674141.根据相同的方法计算相似网络的数据完整性,得到其数据完整度为I′=0.673724,进而可计算得相对误差为4.17×10-4.
分别取所允许的最大误码率Dmax=0.00003,0.00004,0.00005,0.00006,0.00007,每组试验重复10次以消除偶然误差,计算原始网络与相似网络数据完整度的绝对误差,如表 3所示.可见根据相似模型构建的相似网络的数据完整性与原始网络非常接近.相对误差显示故障判据并不显著影响试验方法的有效性.表 4显示了不同加速因子对数据完整度度量的相对误差.可以发现这些参数的变化并不会对本文提出的加速试验方法产生显著影响.
| Emax | 均值${\rm{\hat I}}$ | 方差${\rm{\hat I}}$/10-6 | 均值${\rm{\hat I}}$' | 方差${\rm{\hat I}}$'/10-6 | 相对误差/10-4 | 
| 0.00003 | 0.87934 | 244 | 0.879444 | 240 | 1.18 | 
| 0.00004 | 0.957463 | 15.5 | 0.95788 | 15.4 | 4.35 | 
| 0.00005 | 0.969064 | 6.33 | 0.969182 | 6.40 | 1.22 | 
| 0.00006 | 0.978839 | 1.44 | 0.978916 | 1.51 | 0.787 | 
| 0.00007 | 0.981152 | 0.933 | 0.981125 | 0.945 | 0.275 | 
注:${\rm{\hat I}}$,${\rm{\hat I}}$' —原始网络和相似网络的数据完整度评估结果.
| α | 均值${\rm{\hat I}}$ | 方差${\rm{\hat I}}$/10-6 | 均值${\rm{\hat I}}$ | 方差${\rm{\hat I}}$'/10-6 | 相对误差/10-4 | 
| 2 | 0.978839 | 1.44 | 0.978915 | 1.52 | 0.776 | 
| 4 | 0.978839 | 1.44 | 0.978957 | 1.58 | 1.21 | 
| 6 | 0.978839 | 1.44 | 0.978666 | 2.60 | 1.77 | 
| 8 | 0.978839 | 1.44 | 0.978311 | 1.18 | 5.39 | 
通常情况下,Ad hoc网络中各个节点的移动量大,由于环境和网络拓扑结构的变化造成数据完整性随时间发生较为明显的变化.这里,本文构建了另一个案例来验证相似模型在该情形下的有效性.在与上述案例相同的场景中改变拓扑结构和移动模式如图 4所示,验证本文所提出加速试验方法的有效性.这里,仍然设置加速因子α=2.
原始网络和相似网络分别运行30min和15min,分别获取了7200个数据包.以每50s为一个时间间隔,设置Emax=0.00008可以计算出每个时间间隔内网络的数据完整度.图 5反映两种数据完整度之间的差别很小,相应的均方误差仅为9.5×10-4.
![]()  | 
| 图 4 改变后的拓扑结构和移动轨迹Fig. 4 Changed network topology and moving trace | 
![]()  | 
| 图 5 原始网络和相似网络的数据完整度对比Fig. 5 Comparison of data integrity between original and similar networks | 
1) 本文分析了Ad hoc网络的数据完整性的计算模型,并根据相似理论,推导出其相似准则,得到了相似模型,并对该模型进行了验证.
2) 根据加速因子,按倍数增加网络的数据发送频率、发送和接收带宽以及发射和接收频率、节点移动速率,可有效缩短试验时间,解决Ad hoc网络数据完整性试验时间长、成本高的问题.
3) 仿真结果表明相似误差小,且该加速模型的效果不随故障阈值、应力增加倍数变化,该加速模型为规划Ad hoc网络数据完整试验奠定了重要基础.
| [1] | 张光辉,李建东, 赵敏,等.多跳Ad hoc网络中支持MIMO的分布式拓扑未知时分多址接入协议的研究与分析[J].电子学报,2006,34(10):1763-1767. Zhang G H,Li J D,Zhao M,et al.Study and analysis of distributed topology-transparent schedule for time division multiple access with MIMO links in multi hop Ad hoc networks[J].Acta Electronica Sinica,2006,34(10):1763-1767(in Chinese). | 
| Cited By in Cnki (11) | |
| [2] | Luo H, Guo A H,Chen J P,et al.An adaptive model for mobile Ad hoc networks[J].Applied Mechanics and Materials,2014,475-476:930-935. | 
| Click to display the text | |
| [3] | Ottavi M, Schiano L,Lombardi F,et al.Evaluating the data integrity of memory systems by configurable Markov models[C]//Proceedings of IEEE Computer Society Annual Symposium on VLSI.Piscataway,NJ:IEEE Press,2005:257-259. | 
| Click to display the text | |
| [4] | 张建涛,张剑. 军用通信网综合可靠性试验与检验[J].电子产品可靠性与环境试验,2007,25(2):19-22. Zhang J T,Zhang J.Integrated reliability test and inspection for military communication network[J].Electronic Product Reliability and Environmental Testing,2007,25(2):19-22(in Chinese). | 
| Cited By in Cnki (8) | |
| [5] | Yang C, Zhu Z F,Huang W,et al.Application of simulation technology in reliability measure of Ad hoc network[C]//Proceedings of the 8th International Conference on Reliability,Maintainability and Safety.Piscataway,NJ:IEEE Press,2009:1137-1140. | 
| Click to display the text | |
| [6] | 彭承柱,彭明宇. DWDM光通信系统比特误码率的加速测量[J].广播电视信息,2001(6):30-34. Peng C Z,Peng M Y.Acceleration measurement for bit error rate of DWDM optical communication system[J].Radio and Television Information,2001(6):30-34(in Chinese). | 
| Cited By in Cnki (1) | |
| [7] | Palacharla P, Chrostowski J,Neumann R,et al.Techniques for accelerated measurement of low bit error rates in computer data links[C]//Proceedings of the 1995 IEEE 14th Annual International Phoenix Conference on Computers and Communications.Piscataway,NJ:IEEE Press,1995:184-190. | 
| Click to display the text | |
| [8] | Singh V, Root A,Hemphill E,et al.Accelerating bit error rate testing using a system level design tool[C]//Proceedings of the 11th Annual IEEE Symposium on Field-Programmable Custom Computing Machines.Piscataway,NJ:IEEE Press,2003:62-68. | 
| Click to display the text | |
| [9] | Xilinx Inc. Additive white Gaussian noise (AWGN) core v1.0[EB/OL].San Hose,CA:Xilinx Inc.,2002-10-30[2014-10-09].http://www.xilinx.com/support/documentation/ip_documentation/awgn.pdf. | 
| [10] | Alimohammad A, Fard S F.FPGA-based bit error rate performance measurement of wireless systems[J].IEEE Transaction on Very Large Scale Integration (VLSI) Systems,2013,22(7):1583-1592. | 
| Click to display the text | |
| [11] | 李瑞莹,康锐,黄宁. 基于M/M/1模型的网络及时可靠性加速模型研究[J].北京欧美大片ppt免费大全学报,2013,39(6):823-828. Li R Y,Kang R,Huang N.Accelerated model for network reliability for M/M/1 model[J].Journal of Beijing University of Aeronautics and Astronautics,2013,39(6):823-828(in Chinese). | 
| Cited By in Cnki () | |
| [12] | 徐挺. 相似理论与模型试验[M].北京:中国农业机械出版社,1982:14-25. Xu T.Similarity theory and model testing[M].Beijing:Chinese Agriculture Machine Press,1982:14-25(in Chinese). | 
| [13] | 张志华. 加速寿命试验及其统计分析[M].北京:北京工业大学出版社,2002:26-32. Zhang Z H.Accelerated life testing and its statistics analysis[M].Beijing:Press of Beijing University of Technology,2002:26-32(in Chinese). | 
| [14] | 周美立. 相似性科学[M].北京:科学出版社,2004:172. Zhou M L.Similarity science[M].Beijing:Science Press,2004:172(in Chinese). | 
| [15] | 樊昌信. 通信原理[M].北京:国防工业出版社,2010:194-211. Fan C X.Principles of communications[M].Beijing:National Defence Industry Press,2010:194-211(in Chinese). | 
| [16] | 陈敏. OPNET网络仿真[M].北京:清华大学出版社,2004:181-189. Chen M.OPNET network simulation[M].Beijing:Tsinghua University Press,2004:181-189(in Chinese). | 
| [17] | 徐磊,李晓辉, 方红雨.基于OPNET的Ad Hoc网络建模与仿真[J].计算机工程,2009,35(1):123-125. Xu L,Li X H,Fang H Y.Modeling and simulation of Ad Hoc network based on OPNET[J].Computer Engineering,2009,35(1):123-125(in Chinese). | 
| Cited By in Cnki (3) | |
| [18] | 朱辰,董银虎. 基于OPNET的网络仿真技术研究及其应用[J].无线电工程,2013,43(3):12-15. Zhu C,Dong Y H.Network simulation technology and its application based on OPNET[J].Radio Engineering,2013,43(3):12-15(in Chinese). | 
| Cited By in Cnki (13) | 








